[拼音]:haiyang zaizu huahewu
[外文]:marine steroids
海洋生物产生的甾族化合物。为一类最常见的海洋天然有机化合物,主要来自藻类。很多研究证明,单细胞藻类是海洋甾醇的主要生产者,而以藻类为食物的无脊椎动物则起着收集者和改性者的作用。陆地甾族化合物的分子都含有氢化程度不同的1,2-环戊烯并菲母核,有三个支链,其中第10和13位碳上的支链通常是甲基,结构式和碳原子编号如下:
海洋生物中存在大量这类结构的化合物,其中很多是陆地生物中未发现过的。
特点
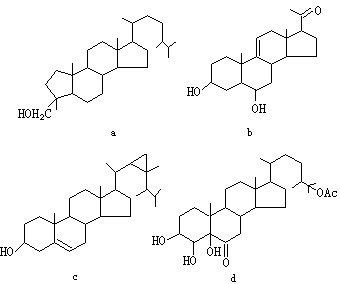
海洋甾族化合物带有明显不同的支链结构,特别是第17碳上的支链,例如在这个支链中含有环丙烷环的柳珊瑚甾醇(见结构式 c)、支链只有两个碳原子的海星酮 (b)。有些甾族化合物还具有不寻常的母核结构,例如从海绵分离出的一种甾族化合物(a),其母核的A环缩小成为五元环。还有一些含有多个羟基的甾族化合物,如豆夹软珊瑚甾醇(d)。
多数海洋非皂化甾醇是无毒的,例如化合物a具有降低血液胆固醇含量的能力,能减弱脂肪肝形成和过量脂肪沉淀于心脏中的倾向。
实例
海星酮从星鱼分离得到。分子式C21H32O3。熔点151~153℃,比旋光度[α]D+60°。结构式如b,它的第17位碳上的支链只有两个碳原子,是结构比较特殊的甾族化合物。它的全合成已于1973年完成。海星酮能转化为Δ9(11)孕甾酮。
柳珊瑚甾醇从柳珊瑚分离得到。分子式 C30H50O。为白色针状晶体,熔点184~185℃,比旋光度[α]D-45°。结构式如c,它的第17位碳原子上的支链中第22和23位碳上有一个环丙烷环。这样结构的甾族化合物在陆地上从未见过。在中国南海的软珊瑚中也发现了柳珊瑚甾醇。
豆荚软珊瑚甾醇从软珊瑚中分离得到。分子式为C30H50O6。熔点210~212℃,比旋光度[α]D-16°。结构式如d。豆荚软珊瑚甾醇具有独特的结构特点,在第 3、4、5、6位碳上同时具有含氧基团;其母核A环和B环是顺式接合的,这在天然甾族化合物中是前所未见的。