[拼音]:yizhixing lilun
[外文]:congruity theory
探讨和预测人在接受了对有关事物的新的信息后会调整原有态度的社会心理学理论。由C.E.奥斯古德和P.H.坦南包姆于1955年提出。
人们对周围的人和事物有一定的评价,具有某种态度倾向。对不同事物的评价可以是相互独立的。例如,某人非常喜爱电视上的一个专题节目,也对某种日用商品抱有好感,这两件事本身是相互独立的。如果他碰巧从电视专题节目中看到一些情况是关于那种日用商品的,那么本来相互独立的事件便有了一定的联系。一致性理论认为,此人会根据他从电视上收到的信息重新调整他对这两事物的态度,使它们在心理上达到一致状态。这有两种情况:一是当人对两事物的看法在方向上都持赞成态度,并且赞成的程度相等时,其中一事物作为信息源(如电视节目),另一事物作为信息对象(如商品),人所接受的新信息通过信息源对信息对象的评价获得。若这一评价是正的,即信息源与信息对象之间有相容的正关系,那么人对这两事物的态度在心理上便达到一致。二是人本来对两事物的态度不同,赞成一个,反对一个,并且赞成和反对的程度相同,这时,如果这两事物之间是相互排斥的负向关系,即信息源对信息对象持反对态度,人的态度也可达到一致性。此刻,人的心理体验是愉快的,没有冲突和不安。
在很多时候,由于人对不同事物的态度本来是相互独立的,在方向上特别是在程度上经常不相同,这时,由于新的信息加入,人对事物原来的态度会由于其方向上的不同或程度上的差别而与两事物之间所形成的联系不协调。因此,人处在态度不一致的心理状态。上例中,如果人本来爱看电视专题节目,但对那种日用商品抱一些反对态度,当他从电视上看到赞成该商品的报道,他的态度处在不一致的状态,因为此时,他发现他所喜爱的事物正在赞成他不太喜欢的事物。当态度不一致时,人的体验是不愉快的,并会从内部产生动力驱使他调整对两事物的态度,使它们达到一致。
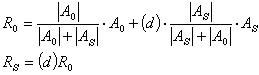
奥斯古德和坦南包姆对这种调整的结果作了预测性说明。首先,对两事物原有的态度用态度语义分化量表测出其方向和程度。这样,人的态度由带有正号或负号数值标出,正值表示赞成,负值表示反对,数值的绝对值越大,表示态度的强度越大,当这两事物作为信息源和信息对象出现时,它们之间的联系也用正号或负号表示其相容或相斥。根据这些用数量评定出来的指标可以判断人此时的态度是否一致。当人的态度不一致时,对态度的调整结果可以用以下公式推出:
式中AS、A0分别为人在调整态度之前对信息源和信息对象的态度值;RS、R0分别为调整之后对二者的态度值;d为信息源与信息对象之间的关系,用正或负表示。
调整之后,人对两事物的态度达到一致,他们在程度上相同,方向根据信息源和信息对象之间的关系而定,若d是正,则调整后人对两事物的看法完全相同;若d为负,则人对两事物的看法方向相反,但程度相同。
人调整自己态度的过程是迅速完成的,自己并不明确地意识到。从总体结果看,人对两事物原来的态度在调整中都会被改变;其中原态度强度的绝对值接近零的一方,被改变的程度要大一些;当信息源和信息对象之间关系为负时,调整后人对两事物的态度比原来都会有所下降。为了证明这个理论观点,1956年坦南包姆设计了一项研究,调查企业中职工在获得新的信息之前和之后的实际态度,然后将根据此理论推测的态度结果与实际测验的值作了对比。结果发现,在定性分析的水平上,这个理论基本是正确的,但在定量分析的水平上,这个理论所作的预测不十分准确。
有不少社会心理学家认为一致性理论是平衡理论的一个特例,只是一致性理论强调O-X之间的关系对人的态度改变所起的作用。有人认为,一致性理论对人的态度变化的理解过于简单化,实际上人的认识、情感都不是由某个因素单独起作用的,在此基础上形成的态度就更为复杂。