[拼音]:sewendu
[外文]:colour temperature
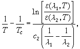
当绝对黑体(见黑体辐射)与实际物体在两个波长下的光谱辐射度(即光谱辐射亮度)之比相等时,则黑体的温度被定义为实际物体的色温度或比色温度。该定义的数学式为
或
(1)
式中λ1与λ2是所取的两个波长;ε(λ1,T)与ε(λ2,T)是温度为T时,实际物体在波长λ1和λ2的光谱发射率,均小于 1;T是实际物体的真实温度(K);Tc是黑体的温度或实际物体的色温度或比色温度(K)。
上式定量地表示了实际物体的真实温度及其色温度之间的关系。下面分三种情况对该公式进行讨论。
(1)λ1
λ2,ε(λ1,T)=ε(λ2,T)。即物体的光谱发射率与波长无关。这样的物体称为灰体。在这种条件下,方程(1)的右侧等于零,因而Tc=T,即灰体的色温度等于它的真实温度。实际上,绝对灰体是不存在的,有些物体只是在一定的光谱范围内具有近似灰体的特性。
(2)λ1>λ2,ε(λ1,T)<ε(λ2,T)。也就是实际物体的光谱发射率随波长的增加而减小。大多数金属物体满足此条件。在这种情况下,方程(1)的右侧为正数,从而Tc>T,即物体的色温度大于它的真实温度。
(3)λ1>λ2,ε(λ1,T)>ε(λ2,T)。这是物体的光谱发射率随波长的增加而增加的情况。大多数非金属物体属于此类。在这种情况下,方程(1)的右侧为负数,因而Tc<T,即物体的色温度小于其真实温度。
由此可知,与亮度温度以及辐射温度始终小于真实温度不同,色温度可以大于、等于、也可以小于真实温度。它取决于实际物体的光谱发射率随波长变化的特性。
根据色温度和亮度温度的定义,经推导可以得到色温度的亮度温度表示式
(2)
如测得物体在波长λ1与λ2下的亮度温度
与
,那么应用上式就可计算出该物体的色温度。绝大多数物体的色温度要比亮度温度和辐射温度更接近其真实温度。这是颜色测温法的重要优点之一。
就绝对黑体而言,其亮度温度、辐射温度以及色温度同它的真实温度完全一致。这是由于黑体的光谱发射率与总发射率都等于1的缘故。
测量物体色温度的仪器是比色高温计(见高温计)。