[拼音]:feinie'er huanban
[外文]:Fresnel zone plate
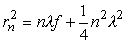
空间天文研究中采用的一种成像系统,也叫菲涅耳-索雷特环板。它是由数目很多的同心圆环构成的环阑,入射光由同心环阑的衍射而会聚。它的各环的半径都必须符合一定条件,如第n个环的半径为rn,入射光的波长为λ,焦距为f;则
。环板的尺寸结构随入射光的波长而变动。对于 500埃的辐射和50厘米的焦距而言,环的宽度小到只有2微米。此外要采用径向支杆支撑各环,以便使环的透光部分不受遮挡。早期的环板是以电子光学成像原理为基础的。但是,对于较大的环板来说,可利用的视场太小。因此需要利用全息摄影技术,并使用两个相干光的球面波波前干涉时产生的环样。采用这种方法,环样的尺寸是任意的,圆度精度很高,各边界部分十分清晰,而所用的仪器设备却十分简单。1972年,德国蒂宾根大学的克雷默尔等人在火箭上应用环板成像技术研究日冕,所用的环板直径为 1.2毫米,焦距48.8毫米,工作波长为16.4埃,得到分辨率为20″的太阳像。利用得到的资料绘制的日冕活动区的等温、等辐射曲线,与天空实验室用X射线望远镜观测的结果一致。