高聚物的分子量分布

由于聚合反应中几率因素的原因,合成高聚物的分子量或聚合度以及分子链长都是不均一的,因而存在分子量分布问题,这种分布可以用分布函数的形式描述。

分子量分布函数

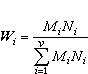
根据不同的统计方法可以有不同的分布函数形式。例如按分子链的数目来统计,分子量在Μi与Μi+ΔΜ间的分子链数目是Ni,它占试样中分子链总数N的分数,即分子数分数NiNi/N。将ΔΜ固定,把试样的整个分子量分布区间划分为 Μ1,Μ2,…,Μvv个区间,按分子数统计可以得出一列分子数分数值N1N2,…,Nv,这一列数字满足归一化条件公式 符号,就表达了试样按分子链数统计的归一化分子量分布。分子量数值不是连续的,而是以链结构单元分子量的倍数递增,由于典型的高聚物的分子量在104~106量级,而每一链结构单元的分子量只有102量级,从概念上,ΔΜ对比于Μ来说,可以看作无限小的量,那么这一列分子数分布数字N1N2,…,Nv可以看作分子量的一个连续函数,称为分子数分布函数N(Μ)。同样,如果按分子链的重量来统计,在分子量是Μi的 ΔΜ区间,分子链数是Ni其重量WiiNi,占试样总重量的分数即重量分数公式 符号,这一列数字W1W2,…,Wv表达试样按重量统计的归一化分子量分布。 以连续函数的形式表示即是重量分布函数W(Μ)。W(Μ)与N(Μ)间的数学关系是:

公式 符号

从分布函数的定义和上式的关系,就可以得到试样的数均分子量和重均分子量:

公式 符号

因为高聚物及其溶液的有些物理和化学性质与分子数有关,有些与重量有关,所以常常要使用这两种分子量分布函数,根据实验的需要有时还要定义更复杂的分布函数,例如Z量分布函数(虽然这种统计并没有直观的物理意义):

公式 符号

相对于重量分布函数来说,分子数分布函数加重了分子量小的部分的贡献,因为对相同重量来说,分子量小的分子链数就多,而Z量分布函数将加重分子量大的部分的贡献。

分子量分布的表征

分子量分布函数N(Μ)或W(Μ)或分子量分布曲线(图1)

图

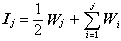
固然全面地反映了高聚物试样的分子量分布,但实际应用时,往往需要更简单的、更具有明确的物理意义的几个数值来表达试样分子量分布的特征,这种把分子量分布曲线简化为几个有意义的数值,就称为分子量分布的表征。除了在讨论聚合过程和溶液的依数性质时用分子数分布更恰当外,一般都用重量分布。重量分布又可以用微分重量分布W(Μ)或累积重量分布I(Μ)表示,公式 符号,即Ij)表示分子量从0到Μj的累积重量分数,两者当然是等价的。

模型函数的参数

按照弗洛里理论, 典型的缩聚产物的分子量分布函数只有一个参数,这参数取决于缩聚过程的反应程度。当缩聚产物的平均分子量足够大时,分子量分布的相对宽度是相同的。实际的高聚物的分子量分布往往可以用包含两个参数的模型函数来表达,常用的模型函数舒尔茨-齐姆函数、韦斯劳函数、董函数等都包含两个参数,实质上用以表征分布函数的两个特性是平均分子量和分子量分布宽度。模型函数法表征分子量分布的问题,是模型函数能否足够好地适合试样的分子量分布的实际情况,否则就有削足适履之弊。

几种统计平均分子量值

用嚔w 表征平均分子量和用嚔w/嚔n表征分布宽度是目前常用的方法。试样的分子量分布愈宽,比值嚔w/嚔n愈大。弗洛里分布的比值为2;窄分布试样的比值小于1.1;中等分布宽度的试样的比值为2~3;宽分布试样的比值大于3;聚乙烯、聚丙烯的比值可达10左右或更大。由於嚔n对低分子量部分的存在很敏感,嚔w/嚔n主要反映分子量分布的低分子量部分的分布宽度。如果要更好地反映分子量分布的高分子量部分的分布宽度,应采用比值嚔z/嚔w 。用几种统计平均分子量来表征试样的分子量分布是非常合理的方法。但是嚔n和嚔z均不易精确测定,尤其是后者,常使比值带来很大的误差。

直观参数

可以用更直观的参数来表达平均分子量、高分子量部分的分布宽度和低分子量部分的分布宽度,例如用累积重量分布曲线I(Μ)上的三个分子量值Μ10、Μ50、Μ90,它们分别是I 等于10%、50%、90%时的分子量值。Μ50表示平均分子量,Μ5010表示低分子量部分,Μ9050表示高分子量部分。这种方法避免了由于分子量分布测定中低分子量尾部(I10以下)和高分子量尾部(I90以上)的I(Μ)曲线的不精确性带来的影响,是一种简便实用而有效的分子量分布表征方法。

测定分子量分布的实验方法

分级法

20世纪30年代以来最早用以测定高聚物分子量分布的方法是利用高分子溶液两相分离时的分子量依赖性,把试样分成若干个分子量不同的级分,例如分级沉淀、液-液相分级萃取、柱上梯度淋洗等。

用上述方法分成的级分还可以进行再分级,将得到的许多级分干燥称重,即得到各级分的重量分数Wi,试样分级的重量损失不应超过 5%。同时对各级分进行分子量嚔wi或特性粘数[η]i测定,通常是测定后者,再按下式画出累积重量分级曲线I([η]):

公式 符号

知道了[η]与Μ的关系,就可以从I([η])计算I(Μ)。这种习用的画出累积重量分级曲线方法忽视了各级分的分子量分布的交叠,是严重的缺点。如果适当考虑各级分的分子量分布的交叠,就可大大改进I(Μ)的真实性。

超速离心沉降

当悬浊液在重力场中放置时,可以看到由于颗粒的沉降,逐渐分出界面,从沉降的速率可以计算颗粒的质量。高分子的质量要比悬浊液中宏观颗粒的重量小得多,由于热运动的缘故,在重力场中看不到沉降。1923年出现超速离心机以后,就可以在几十万倍于地心重力的离心力场内看到高分子在溶液中的沉降,逐渐分出界面(图2中0→5所示)。

图

这个界面一般是弥散的,而且随沉降过程的进行,界面愈来愈弥散。沉降中界面变宽的原因有两个:一是分出的界面本身使溶液中产生浓度梯度,就有与沉降运动的方向相反的扩散过程;另一原因起于试样的分子量分布,由于分子量不同,沉降速率也就不同,而使界面变宽。这两种沉降界面变宽效应对沉降时间t的依赖性不同,前者正比于t┩;后者正比于t,因而可以在数据处理中加以分辨。从沉降界面的浓度分布减去扩散变宽以后,就可得出试样的沉降系数分布W(S),再通过沉降系数-分子量关系 S(Μ),就可算出试样的分子量分布W(Μ)。在良溶剂中高分子的沉降系数有浓度依赖性。为避免这一因素带来的复杂性,沉降法测定分子量分布应在试样的θ-溶剂中进行,这时高分子的沉降系数的浓度依赖性可以忽略。在沉降中,不同分子量的分子间的相互作用对沉降系数的影响,往往使界面分布稍稍偏窄,要改正这一因素对所得分子量分布曲线的影响,还有困难,因此实验常用尽量稀的溶液。

凝胶色谱法

自1964年以来此法已成为测定高聚物分子量分布最方便、最快、最广泛的方法,它利用色谱柱固定相(凝胶小球)中孔径不同的微孔对流动相中尺寸不同的高分子所起的体积排除作用,使分子尺寸大的(分子量大)高分子在淋洗过程中进入微孔的次数和深度都比分子尺寸小的(分子量小)高分子要少和浅。因此当在流动相内脉冲地注入高聚物试样溶液后,分子量大的先淋出,分子量小的后淋出。色谱保留体积就是分子量的标尺,淋出高分子的浓度就是重量标尺。一般要用装有孔径差别几个量级的固定相的几根色谱柱串联使用,以适应高聚物试样分子量分布范围宽的特点。淋出液中高分子浓度的检测一般利用示差折光计或紫外吸收。保留体积与分子量之间的关系有先用窄分布的标样标定的,也有直接联上分子量检测器(如粘度或小角散射光强检测器)的。目前凝胶色谱法适应的范围可从低聚物到分子量为几百万的高聚物。此法主要的困难是淋出峰加宽的改正问题,因为即使注入一个理想的分子量均一的试样,在色谱柱中运行以后,在淋出时将得到一个接近高斯分布的淋出峰。这个由于色谱柱的运行所引起的淋出峰的加宽,需要予以改正,否则实验所得分子量分布都将偏宽(见凝胶色谱法)。

分子量分布与高聚物性能的关系

测定高聚物分子量分布的目的是了解聚合过程和分子量分布对高聚物性能的影响。凡是有分子量依赖性的高聚物的任何物理性质,自然都受分子量分布的影响。从高分子材料的角度来看,比较重要的是高聚物的分子量分布对溶液性质、加工性能和使用性能的影响。

溶液性质

高分子溶液性质的研究(特别是研究溶液性质的分子量依赖性)中,理想的试样是接近单分散的试样。实际上,这种试样的制备,除少数高聚物外并非都能做到。现在是通过对宽分布试样分子量分布的精确测定来研究溶液性质,再在数据处理中计算出单分散试样的溶液性质的分子量依赖性。

加工性能

高聚物加工特别是热塑性塑料的成型、橡胶的混炼和挤出都与高聚物熔体或本体的流变性质有关。高聚物流体流变性质的表征包括粘度和弹性(可回复形变),都有强烈的分子量依赖性,例如低切变速率下的熔体粘度η0,在一定的分子量以上,公式 符号;表征熔体弹性的第一法向应力差公式 符号。切变流动开始时出现的非牛顿性的切变速率也强烈地依赖于分子量,因此高聚物熔体的加工性强烈地受分子量分布的影响。在高分子交联或硫化、固化的加工过程中,凝胶点与交联前的高聚物分子量有关,分子量分布也对高聚物的交联过程产生影响。

使用性能

高聚物的使用性能取决于高聚物制件的高聚物分子聚集态结构、织构和分子链的热运动。高聚物分子聚集态结构和织构是在加工成型过程中形成的,特别重要的是分子链的取向及其松弛过程和结晶过程,这些都有显著的分子量依赖性。分子量大时,大尺寸的分子链取向和松弛就慢。熔体结晶时,当分子量足够大以后,分子量愈大,结晶速率愈小。这些因素都带来了分子量分布对高聚物使用性能的影响。

总之,高分子材料的分子量分布太窄,对加工往往是不利的,分子量分布过宽又带来各种各样的问题。中等分布例如嚔w/嚔n在2~3是适中的。重要的不是分子量分布的细节,而是要了解高聚物试样的分子量分布是单峰值的还是多峰值的,分子量分布的低分子量尾部的范围和含量,高分子量尾部的范围和含量。低分子量尾部往往导致过大的蠕变、过多的消耗交联剂、促使结晶等,而高分子量尾部则引起强烈的熔体弹性,使加工困难。

参考书目
  1. 钱人元等著:《高聚物的分子量测定》,科学出版社,北京,1958。