高聚物的分子量

同一般化合物的分子量一样,也是组成这个分子的各原子的原子量总和。除少数天然高分子以外,合成高聚物的分子量往往具有不均一性。

高聚物分子量的统计性

高分子由很大数目的单体分子通过聚合反应而形成。在加成聚合过程中形成的高分子的分子量将是组成这个高分子的单体分子量的整倍数。如果聚合是通过缩聚反应的,则由于反应中有某种小分子逸出,形成的高分子的分子量小于组成这个高分子的单体分子量的整倍数。由于聚合反应中高分子链的增长和终止受反应几率和可能存在的杂质的影响,高聚物中各个高分子并不是由相同数目的单体聚合而成的,因而试样中各个高分子的分子量将不完全相同。在文献中通常将这种分子量的不均一性称作分子量的多分散性。由于高分子的分子量有多分散性,要表征高分子的分子量就需要应用统计方法。最完整的表达形式应该是高聚物的分子量分布,因为它表明了试样中不同分子量组分的相对含量。

用一般分子量测定方法来测定高聚物的分子量时,所得到的将是分子量的平均值。具体数值将决定于所用的方法和该方法的统计基础。

平均分子量

分子量多分散的体系可以用分布函数来表示,例如用N(Μ)代表分子数分布函数,用N(Μ)dΜ代表试样中分子量在Μ和Μ+dΜ之间的分子数,这个分布函数不可能用一个简单数字来表征。但是任何分布均可用一系列矩数μr来描述(其中r=0,1,2,3,…):

公式 符号

不同平均分子量的定义可写成:

数均分子量 嚔nμ1/μ0

重均分子量 嚔wμ2/μ1

Z 均分子量 嚔zμ3/μ2

对不连续的分布而言,统计矩数公式 符号,式中ni是试样中分子量为Μi组分的分子数,平均分子量又可写成:

公式 符号

式中Wi是试样中分子量为Μi组分的重量。同样,各种平均分子量也可以用不同的分布函数来定义(见高聚物的分子量分布)。

除了式(1)~(3)所定义的三种常用的平均分子量以外,由于粘度法测定分子量的应用十分广泛,它代表了另一种平均分子量,称作粘均分子量,它的定义为:

公式 符号

式中α是马克-豪温克粘度-分子量方程中的参数,它的数值在0.5~1.0之间。

在一般情况下,多分散高聚物的嚔n<嚔η≤嚔w<嚔z。从式(1)~(3)可以看出,嚔n对试样中分子量小的部分非常敏感,任何低分子量组分的存在将大幅度降低数均分子量的数值;嚔w和嚔z却对试样中高分子量尾部的存在很敏感,少量高分子量组分的存在将大幅度提高嚔w和嚔z的数值。因此,比值嚔w/嚔n可以作为分子量分布宽窄程度的一个量度,多分散程度越高,比值也越大,在单分散的理想情况下,此比值等于1。

平均分子量的测定方法

常用的方法及其适用范围见表。

图 端基分析法

如果高分子带有可测定的端基,而且每个高分子所带端基的数目为已知时,对给定重量的试样进行端基分析,即可得到数均分子量嚔n。例如,在高温下将聚己内酰胺溶于苯甲醇,每个聚己内酰胺分子有一个羧端基,可用氢氧化钾来滴定羧基。在终点时,所用氢氧化钾的克当量数应等于给定重量试样的克当量数,由此可算出嚔n

公式 符号 沸点升高法和冰点降低法

这两种经典的方法对高聚物仍适用,不过由于高聚物的分子量较大,同样重量的高分子比小分子所产生的热效应小,就需要用更灵敏和稳定的测温元件和装置。

在无限稀释的条件下,高分子溶液的沸点升高ΔT与数均分子量有以下关系:

公式 符号

式中Tb为溶剂平衡沸点;Δ1为溶剂在Tb时的摩尔气化潜热ρ1为溶剂在Tb时的密度;c为高分子浓度;R为气体常数;Kb为沸点升高常数。在实际情况下,人们通常不直接测量Kb而是用一个已知分子量的标样测定仪器常数K′,再从实验测得的电表读数ΔD按下式计算数均分子量:

公式 符号

对冰点降低同样可以导出类似的方程。

气相渗透法

基于高分子溶液的蒸气压比纯溶剂的低和蒸气压的差值正比于高分子溶液的摩尔浓度。由于直接测定蒸气压的降低比较困难,通常是通过把它转换成温差进行测量的。具体方法是在恒温和充满溶剂的饱和蒸气的密闭容器内,放置两个匹配的热敏电阻,分别接在电桥的两臂上。当在这两个热敏电阻上分别加一滴高分子溶液和纯溶剂时,由于溶液的蒸气压低,热敏电阻周围的饱和蒸气向已加溶液的热敏电阻上凝聚,放出的凝聚热使热敏电阻温度升高,使电桥有输出。用已知分子量的标样来订定仪器常数后,可以在同样条件下测定未知样品的数均分子量。本方法因有商品仪器,已得到广泛应用。

膜渗透压法

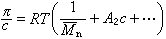
高分子溶液和溶剂被一个半透膜隔开时,半透膜两边溶剂的化学位不同,溶剂池中的溶剂将通过半透膜流向溶液池,使溶液池液面高出溶剂池,在达到平衡时,这个压差就是渗透压。当高分子溶液很稀时,渗透压和数均分子量有以下关系:

公式 符号

式中π为渗透压;R为气体常数;T为温度;A2为第二维利系数;c为浓度。经典的膜渗透压法中大多采用自然平衡法,实验时间长。目前商品仪器利用电子伺服机构能自动升降溶液池液面,直到找到渗透压为止,或者利用压力传感器迅速测量渗透压。

光散射法

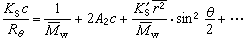
从光的电磁波理论和高分子溶液热力学性质可以导出高分子稀溶液的散射光强和高聚物的分子量、高分子和溶剂的折光指数差、溶液浓度以及观察到的散射角度有以下关系:

公式 符号  (4)

式中 KSK▂为与入射光波长、高分子溶液折光指数增值公式 符号等有关的常数;Rθ为实验测定的瑞利比;A2为第二维利系数;公式 符号为高分子在溶液中的均方半径;θ为散射角。从(4)式可见,当实验数据向c→0和θ→0作双重外推时,截距将是重均分子量的倒数。从θ=0°,c=0时的外推直线斜率可分别得到 A2公式 符号。应用激光作为光源时,散射角可低到2°,可免除散射角度的向零度外推(见高分子溶液的光散射)。

粘度法

由于方法和设备简单, 利用稀溶液的粘度来测定高聚物的分子量已经得到广泛应用。在粘度法中需要测定的物理量是溶液的特性粘数[η],它的定义是:

公式 符号

式中公式 符号ηη0c分别为溶液、溶剂粘度和溶液的浓度。特性粘数和分子量间有以下经验关系:

[η]=Kηα (5)

Kα是两个与体系有关的常数。当Kα值已知时就可以按式(5)从特性粘数计算粘均分子量。Kα值一般可从文献中找到。

其他方法

所有测定高聚物分子量分布的方法,例如凝胶渗透色谱法、离心沉降法等,都能通过对分子量分布的计算得到各种平均分子量。

参考书目
  1. 钱人元等著:《高聚物的分子量测定》,科学出版社,北京,1958。