˹Ëþ¿ËЧӦ

Íâµç³¡×÷ÓÃÏ£¬Ô­×Ó»ò·Ö×ÓµÄÄܼ¶·ÖÁѼ°ÒÆÎ»£¬·¢ÉäºÍÎüÊÕÆ×ÏߵķÖÁѼ°ÒÆÎ»µÄͨ³Æ¡£1913ÄêJ.˹Ëþ¿ËÔÚ105V/cm Á¿¼¶µÄµç³¡Öй۲쵽ÇâÔ­×ӵİͶúÄ©ÏßÓÐÏ൱Ã÷ÏԵķÖÁÑ£¬Ê×ÏÈ·¢ÏÖÁËÕâһЧӦ¡£

Íâµç³¡×÷ÓÃϸ÷·ÖÁÑÄܼ¶µÄÒÆÎ»Ëæµç³¡Ç¿¶ÈÏßÐÔÔö¼ÓµÄ³ÆÏßÐÔ˹Ëþ¿ËЧӦ»òÒ»¼¶Ë¹Ëþ¿ËЧӦ£»Ëæµç³¡Ç¿¶È¶þ´Î·½Ôö¼ÓµÄ³ÆÆ½·½Ë¹Ëþ¿ËЧӦ»ò¶þ¼¶Ë¹Ëþ¿ËЧӦ£¬µÈµÈ¡£ÏßÐÔ˹Ëþ¿ËЧӦÀ´×ÔÔ­×Ó»ò·Ö×ӵĵçż¼«¾ØÓëµç³¡±¾ÉíµÄÏ໥×÷Ó㬶þ¼¶Ë¹Ëþ¿ËЧӦÀ´×Ե糡¸ÐÉúµÄµçż¼«¾ØºÍÕâµç³¡±¾ÉíµÄ×÷Óá£

˹Ëþ¿ËЧӦ³ýÓÉż¼«¾ØÒýÆðÍ⣬»¹À´×ÔËüÃǵĵçË﫾ØÓëÍâµç³¡µÄÏ໥×÷Óá£Íâµç³¡µÄÀàÐÍÓУº¾ùÔÈ»ò·Ç¾ùÔȵľ²µç³¡¡¢½»±äµç³¡¡¢Âö³åµç³¡¡¢µç´Å·øÉäµÄµç³¡ºÍ¸½½üÆäËû´øµçÁ£×ӵĵ糡¡£

µç³¡²»½ö¿ÉÒÔʹԭ×Ó»ò·Ö×ÓµÄÄܼ¶·¢Éú·ÖÁѺÍÒÆÎ»£¬»¹¿ÉÒÔʹÄܼ¶¼äµÄԾǨ¼¸ÂÊ·¢Éú±ä»¯£¬ÉõÖÁ¿ÉÒÔʹijЩ½û½äԾǨ±äΪÔÊÐíԾǨ¡£

Ñо¿Ë¹Ëþ¿ËЧӦµÄÕýÈ·µÄÀíÂÛ·½·¨ÊÇÁ¿×ÓÁ¦Ñ§µÄ΢ÈÅÂÛ·½·¨¡£ÕâÊÇÒòΪԭ×ÓÄÚ¿âÂØ³¡µÄÁ¿¼¶Îª1011V/m.¶øÊµÑéÊÒÀÒòÆøÌå»÷´©µÄÏÞÖÆ£¬³¡Ç¿Ö»ÄÜ´ïµ½108V/m£¬ËùÒÔÓëǰÕßÏà±È£¬ºóÕ߿ɿ´×÷ÊÇÒ»ºÜСµÄ΢ÈÅ¡£È»¶øÔÚ´¦Àí¸ß¾«¶ÈµÄʵÑé½á¹ûʱ£¬ÔòÐèÒª×ö±È΢ÈÅ·¨¸ü¾«È·µÄ¼ÆËã¡£

Íâµç³¡Ç¿¶ÈEÒýÆðµÄ΢ÈÅÄÜÁ¿ÔÚż¼«½üËÆÖÐΪ£­P¡¤E£¬PÊÇÔ­×Ó»ò·Ö×ӵĵçż¼«¾Ø¡£ÒòΪP¶Ô×ø±ê¿Õ¼äµÄ·´ÑÝ(¼´Ê±)Òª±äºÅ£¨¼´Óî³ÆÎª¸º£©£¬¶ø·Ç¼ò²¢Ì¬µÄ¼¸ÂÊÃÜ¶È |¦×|2ÔÚ·´ÑÝÏÂ×ܱ£³Ö²»±ä£¬ËùÒÔPµÄƽ¾ùֵΪÁ㣬Òò´Ë·Ç¼ò²¢Äܼ¶Ã»ÓÐÒ»¼¶Ë¹Ëþ¿ËЧӦ¡£¶ÔÓÚÇâÔ­×ÓºÍÀàÇâÔ­×Ó£¬ÔڿɺöÂÔÏà¶ÔÂÛЧӦµÄÇé¿öÏ£¬¼ò²¢Äܼ¶°üº¬Óî³ÆÏà·´µÄ̬£¬PµÄƽ¾ùÖµ²»ÎªÁ㣬ËùÒÔÓÐÒ»¼¶Ë¹Ëþ¿ËЧӦ¡£ÔÚ·Ö×ÓÖУ¬ÓÉÓÚͬÑùµÄÔ­Òò£¬Ö»ÔÚ·Ö×ÓµÄת¶¯Öá·½ÏòÓÐһƽ¾ùµçż¼«¾ØÊ±£¬²ÅÓÐÒ»¼¶Ë¹Ëþ¿ËЧӦ¡£

ÇâÔ­×ÓºÍÀàÇâÔ­×ÓµÄ˹Ëþ¿ËЧӦ

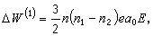
£¨1£© ºöÂÔÏà¶ÔÂÛЧӦµÄÇéÐΣºµ±ºöÂÔµç×ÓÖÊÁ¿¶ÔËٶȵÄÒÀÀµºÍµç×Ó×ÔÐýÓë¹ìµÀÔ˶¯µÄ×÷ÓÃÕâЩÏà¶ÔÂÛЧӦʱ£¬ÇâÔ­×Ó»òÀàÇâÔ­×ÓÖÐÓÐÏàͬÖ÷Á¿×ÓÊýn¡¢²»Í¬¹ìµÀ½Ç¶¯Á¿Á¿×ÓÊýlµÄ̬ÊǼò²¢µÄ¡£¶ÔÓÚÇâÔ­×Ó£¬Óüò²¢Î¢ÈÅ·¨¼ÆËãµÃµ½µÄÃèÊöÄܼ¶·ÖÁѺÍÒÆÎ»µÄ¹«Ê½Îª

ʽÖÐa0Ϊ²£¶û°ë¾¶£»(n1-n2)ȡֵ-(n-1)£¬-(n-2)£¬¡­£¬(n-1)¡£¿É¼ûn=2µÄÄܼ¶·ÖÁÑΪ3£¬ n=3µÄ·ÖÁÑΪ5¡£Í¬ÑùnµÄ¸÷·ÖÁÑÄܼ¶ÒÔ´ÅÁ¿×ÓÊýµÄ¾ø¶ÔÖµ|ml|=n-n1-n2-1Çø·Ö¡£n=2ºÍ3µÄÄܼ¶µÄ˹Ëþ¿Ë·ÖÁѺ͸÷·ÖÁÑÄܼ¶µÄmlÖµ±íʾÔÚͼ1ÖС£

ͼ1

ͼÖеÄԾǨԤÑÔÁËÇâÔ­×ÓµÄH¦Á=656.279nmÏßµÄ˹Ëþ¿Ë·ÖÁÑ¡£Ô¾Ç¨×ñ´ÓÑ¡Ôñ¶¨Ôò¦¤ml=0(¦Ð ³É·Ö)ºÍ ¦¤ml=¡À1£¨¦Ò ³É·Ö£©¡£Ç°Ò»ÇéÐÎÖйâµÄµçʸÁ¿Æ½ÐÐÓڵ糡£¬ºóÒ»ÇéÐÎÖÐËü´¹Ö±Óڵ糡¡£ÈκÎÔ­×ӵĺܸ߼¤·¢Ì¬ÀàÇâÄܼ¶¾ßÓÐÀàËÆµÄÒ»¼¶Ë¹Ëþ¿ËЧӦ¡£

ÇâÔ­×ӵĶþ¼¶Ë¹Ëþ¿ËЧӦµÄ¹«Ê½Îª

¶ÔÓÚÀàÇâÔ­×Ó£¬Ö»ÒªÒÔn/Z´úÌæ¹«Ê½ÖеÄn¼´¿É¡£

£¨2£©¼Æ¼°Ïà¶ÔÂÛЧӦµÄÇéÐΣº¶ÔÓÚ104V/mÒÔϵÄÈõµç³¡£¬Ïà¶ÔÂÛЧӦËùÒýÆðµÄ¾«Ï¸½á¹¹²»ÄܺöÂÔ¡£ÒÑÖªÇâÔ­×ÓÖÐn=1µÄÄܼ¶Ã»Óо«Ï¸½á¹¹£¬×Ôn=2¿ªÊ¼Óо«Ï¸½á¹¹£¬ËüÃǵľ«Ï¸½á¹¹µÄ·ÖÁѼä¸ôËæ1/n3µÄϽµ¶øÏ½µ£¨¼ûÇâÔ­×Ó¹âÆ×¡¢Ô­×Ó¹âÆ×µÄ¾«Ï¸½á¹¹£©¡£n=2 Äܼ¶µÄ¾«Ï¸½á¹¹ÓÉ̬S½;ºÍP½;µÄ¼ò²¢Äܼ¶ºÍ̬PŽÍµÄÄܼ¶¹¹³É¡£Òò¼ò²¢µÄ̬S½;ºÍP½;µÄÓî³ÆÏà·´£¬ËùÒÔÕâÄܼ¶ÓÐÒ»¼¶Ë¹Ëþ¿ËЧӦ¡£È»¶ø£¬ÓÉÓÚµç×ÓÓëÕæ¿ÕµÄÏ໥×÷Ó㬠P½;ºÍP½;²¢·ÇÍêÈ«¼ò²¢£¬ÕâÄܼ¶ÓÐ΢СµÄ·ÖÁÑ£¨À¼Ä·ÒÆÎ»£¬ËùÒÔÔÚÈõµç³¡ÏÂÄܼ¶µÄ·ÖÁѾßÓнϸ´ÔÓµÄÐÔÖÊ¡£·ÖÁѵÄÇé¿öÈçͼ2Ëùʾ¡£

ͼ2 ·ÇÀàÇâÔ­×ÓµÄ˹Ëþ¿ËЧӦ

¶ÔÓÚ·ÇÀàÇâÔ­×Ó£¬³ýºÜ¸ß¼¤·¢Ì¬µÄÀàÇâÄܼ¶Í⣬ûÓÐÒ»¼¶Ë¹Ëþ¿ËЧӦ¡£ËüÃǵĶþ¼¶Ë¹Ëþ¿ËЧӦµÄÒ»°ã±íʾʽΪ

ʽÖЦñíʾijһµç×Ó̬£¬ JºÍMJÊǵç×Ó¹ìµÀ½Ç¶¯Á¿Á¿×ÓÊýºÍ¶ÔÓ¦µÄ´ÅÁ¿×ÓÊý¡£Èç¹ûµç³¡×㹻ǿ£¬ÒÔÖÁÓÚʹµç³¡ÒýÆðµÄÄÜÁ¿±ä»¯±ÈÏàÁÚµÄ Äܼ¶µÄÄÜÁ¿²î»¹´óµÃ¶à£¬Ôò´Ó¶þ¼¶Ë¹Ëþ¿ËЧӦ¹ý¶Éµ½Ò»¼¶Ë¹Ëþ¿ËЧӦ¡£

·Ö×ÓµÄ˹Ëþ¿ËЧӦ

¹ã·ºÓÃÓÚ·ÖÎö¾ßÓÐÓÀ¾Ãµçż¼«¾ØµÄ·Ö×ÓµÄ΢²¨Æ×¼°¾«È·²â¶¨ÕâЩ·Ö×ÓµÄÕñ¶¯»ù̬ºÍºÜµÍ¼¤·¢Ì¬µÄµçż¼«¾Ø¡£ÔÚ¹âÆµÇøÓò£¬×Ô´ÓÓÐÁËÏà¸É¹âÔ´£¬Ë¹Ëþ¿ËЧӦÒÑÓÃÓÚ·ÖÎö·Ö×ÓÕñ¶¯´øºÍµç×ÓԾǨ´øÒÔ¼°²â¶¨¼¤·¢Ì¬µÄµçż¼«¾Ø¡£µçż¼«¾ØµÄ²â¶¨ÖµÌṩ·Ö×ÓÔÚÆäËù´¦µÄ̬ÖеĽṹºÍÐÔÖʵÄ֪ʶ¡£

²»Í¬ÀàÐ͵ķÖ×Ó¾ßÓв»Í¬Ë¹Ëþ¿ËÐ§Ó¦ÌØÕ÷¡£ÏßÐÔ·Ö×ÓµÄÓÀ¾Ãµçż¼«¾Ø±ØÑØ·Ö×ÓÖá·½Ïò£¬¶øËüµÄÕûÌåת¶¯Öá´¹Ö±ÓÚ·Ö×ÓÖᣬÒò´ËÔÚתÖá·½ÏòûÓÐÓÀ¾Ãµçż¼«¾ØµÄ·ÖÁ¿£¬½á¹ûÊÇ£¬Ë¹Ëþ¿ËÄÜÁ¿(-P¡¤E)ÔÚת¶¯Ò»ÖÜÄ򵀮½¾ùÖµ¼¸ºõΪÁ㣬ʣÓàµÄÒ»¸öСÁ¿Õý±ÈÓڵ糡µÄ¶þ´Î·½¡£Èç¹ûÏßÐÔ·Ö×ÓÖÐÑØ·Ö×ÓÖá·½ÏòÓйìµÀ½Ç¶¯Á¿£¬ÔòËüÓÐÒ»¼¶Ë¹Ëþ¿ËЧӦ¡£²»¶Ô³ÆÍÓÂÝ·Ö×ÓÒ²ÀàËÆ£¬ÓÉÓÚת¶¯µÄƽ¾ù×÷Óã¬ËüÃÇҲûÓÐÒ»¼¶Ë¹Ëþ¿ËЧӦ¡£¶ÔÓÚ¶Ô³ÆÍÓÂÝ·Ö×Ó£¬ÓеķÖ×ÓÔÚ¶Ô³ÆÖá·½ÏòÓÐÓÀ¾Ãµçż¼«¾Ø£¬ËüÔÚת¶¯Öá·½ÏòµÄ·ÖÁ¿Ò»°ã²»ÎªÁ㣬Õâ·ÖÁ¿²»ÊÜת¶¯µÄÓ°Ï죬Òò´ËÓÐÒ»¼¶Ë¹Ëþ¿ËЧӦ¡£½üËÆÓÚ¶Ô³ÆÍÓÂݵIJ»¶Ô³ÆÍÓÂÝ·Ö×Ó£¬Ôڵ糡½Ï¸ßʱ¿ÉÒÔ±íÏÖ³öÒ»¼¶Ë¹Ëþ¿ËЧӦ¡£ÇòÐÎÍÓÂÝ·Ö×ÓûÓÐͨ³£µÄÓÀ¾Ãµçż¼«¾ØºÍÒ»¼¶Ë¹Ëþ¿ËЧӦ£¬È»¶øÔÚijЩÕñ¶¯¼¤·¢Ì¬¿ÉÄÜÓÐÓÉÕñ¶¯¸ÐÉúµÄºÜСµÄÓÀ¾Ãµçż¼«¾ØÒýÆðµÄÒ»¼¶Ë¹Ëþ¿ËЧӦ¡£

Ó¦ÓÃ

Ö÷ÒªÓÃÓÚÑо¿Ô­×Ó»ò·Ö×ӵĽṹ¡£µÈÀë×ÓÌåÆ×ÏßµÄ˹Ëþ¿ËÔö¿íºÍ³¡¸ÐÉúÆ×ÏߵijöÏÖ£¬ÓÃÓÚÆäÖе糡ǿ¶ÈºÍ´øµçÁ£×ÓÃܶȵIJⶨ¡£Ë¹Ëþ¿ËЧӦ¿ÉÓÃÓÚ¹âÇ¿¶Èµ÷ÖÆ£¬¹âͨ¹ý˹Ëþ¿Ë¹²ÕñÎüÊճأ¬Ç¿¶ÈËæµ÷ÖÆµç³¡¶ø±ä¡£¶ÔÓÚ¹ÌÌåºÍ¾§Ì壬Õâ¸öЧӦ¿ÉÒÔÓÃÀ´Ö±½ÓÑо¿ÆäÖе͍Óòµç³¡ºÍÑо¿ÔÓÖʵ路¢Ì¬£¬¾§ÌåÖм¤×Ó¹âÆ×µÄ˹Ëþ¿ËЧӦ¿ÉÒÔ¼ìÑéÆäÖÐÄÜ̬µÄ¶Ô³ÆÐÔ¡£