邻位效应

指苯环内相邻取代基之间的相互作用,使基团的活性和分子的物理化学性能发生显著变化的一种效应。这种效应在间位和对位化合物中不存在。

邻位效应包括取代基之间的空间阻碍诱导效应场效应和成键能力。

邻位基团的空间阻碍可以影响分子的对称性,例如化合物a是手征性分子,而b却是非手征性分子:

公式 符号

邻位基团的空间阻碍可以把─NH2、─NO2等共轭基团排斥于苯环的共轭体系之外,从而使该化合物的键长、极性、酸碱性等分子的静态物理化学性能发生极大的变化。例如化合物c中,由于硝基与对位氨基共轭,氨基上的孤电子对可转移到硝基上去(c′),它的偶极矩是6.18D。但化合物d中,由于邻位甲基的空间阻碍,─NH2和─NO2基团平面偏离苯环平面,氨基上的电子对就不能转移到硝基上去,它的偶极矩只有4.89D:

公式 符号

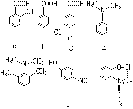
又如,由于氯原子的诱导效应,化合物e的酸性比化合物f、g为大。在化合物h、i中,由于化合物h是以分子间氢键为主,它的沸点可达295℃,而化合物i是以分子内氢键为主,它的沸点只有214℃。

邻位效应对反应速率反应机理也有影响。例如,化合物j能与碘甲烷反应生成四级铵盐,但化合物k中由于邻位上的两个甲基的空间阻碍,─N(CH3)2基团平面偏离苯环平面,使化合物k极难形成四级铵盐。

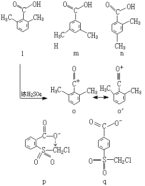
化合物 1在通常条件下的酯化速率要比化合物m、n慢得多。但在浓硫酸中,由于正碳离子的生成,进攻基团可以从与苯环垂直的方向进攻反应中心,所以化合物的酯化反应能顺利地进行。这时的酯化机理已发生变化。

公式 符号 公式 符号

在某种反应过程中,相邻基团部分地或完全与反应中心相键合,使反应速率明显增大,这种邻位效应属于邻近基团的参与。例如,由于邻近基团的参与,化合物p中的氯在沸水中易水解,但化合物q在同样条件下却是稳定的。

由于邻位基团的这种特殊的效应,邻位基团对分子性能的影响并不遵循哈米特方程

参考书目
  1. E.S.Gould, Mechanism and Structure in Organic Chemistry,Holt, New York, 1960.