[拼音]:bing’ersuan eryizhi
[外文]:diethyl malonate
丙二酸的两个羧基中的羟基全被乙氧基取代(见取代反应)而生成的化合物,分子式CH2(COOC2H5)2。 丙二酸二乙酯为无色芳香液体;熔点-48.9℃,沸点199.3℃;相对密度为1.0551(20/4℃);不溶于水,易溶于醇、醚和其他有机溶剂中。
丙二酸二乙酯的亚甲基受两个羰基的影响,活性较高。它与乙醇钠作用生成钠盐,继而与卤代烃反应,生成一元或二元烃基取代的丙二酸二乙酯。它们均是有机合成的重要中间体,例如,可进一步水解脱羧形成羧酸:
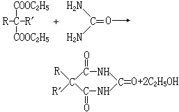
式中R、R′为烃基。丙二酸二乙酯可进行亚硝化反应,进一步还原则生成氨基丙二酸二乙酯,是合成氨基酸的重要中间体。丙二酸二乙酯与羰基化合物起缩合反应,生成不饱和化合物RCH=C(COOC2H5)2。烃基取代的丙二酸二乙酯与脲缩合,生成巴比妥,是常用的安眠药:
丙二酸二乙酯易被卤素取代,生成卤代丙二酸二乙酯,也可被三氧化二氮氧化成氧代丙二酸酯O=C(COOC2H5)2。这些化合物在理论上和合成上均有价值。
丙二酸二乙酯是以氯乙酸钠为原料,先与氰化钠作用生成氰乙酸钠,再用乙醇酯化制得。丙二酸二乙酯是重要的化工原料和有机合成试剂,广泛用于药物和染料的合成。