[拼音]:weifen pengzhuang jiemian
[外文]:differential collision cross section
单位时间内散射到单位立体角中的粒子数与通过垂直入射方向上的单位面积的粒子数之比。在分子散射实验中,不是测量单个分子的碰撞轨迹,而是测量由固定方向入射的分子束经碰撞后发生的偏转数,由于所有可能的碰撞参数都存在,存在着一个与偏转角度θ有关的几率函数。在质心坐标系中,这个几率函数叫做微分碰撞截面I(θ)。这是因为它具有面积的量纲。
在最简单的情况下,设碰撞粒子间的作用力是球形对称的,则单位立体角:
dΩ =2πsinθdθ
单位时间内在偏转角θ和θ+dθ之间散射的粒子数为:
dQ=I(θ)dΩ =2πI(θ)sinθdθ
对于一个给定速度的粒子束,散射到θ和θ+dθ(见图)
之间的分子数等于入射粒子束从宽度为db,面积为2πbdb的圆环中通过的分子数:
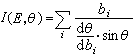
dQ=2πbdb=2πI(E,θ)sinθdθ
或
对于给定能量的粒子束,碰撞参数可有许多不同的数值,因而,微分碰撞截面的普遍表达式可写作:
将全部立体角范围对微分碰撞截面加和就得到总的弹性碰撞截面:
根据碰撞对相互作用的性质,非弹性碰撞和反应碰撞也有类似的定义。