[拼音]:Yakebi hanglieshi
[外文]:Jacobian determinant
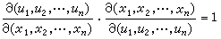
通常称为雅可比式(Jacobian)。它是以n个n元函数
(1)
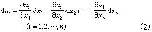
的偏导数
为元素的行列式
常记为
事实上,在(1)中函数都连续可微(即偏导数都连续)的前提之下,J就是函数组(1)的微分形式
的系数矩阵(即雅可比矩阵)的行列式。
若因变量u1,u2,…,un对自变量x1,x2,…,xn连续可微,而自变量x1,x2,…,xn对新变量r1,r2,…,rn连续可微,则因变量(u1,u2,…,un)也对新变量(r1,r2,…,rn)连续可微,并且
这可用行列式的乘法法则和偏导数的连锁法则直接验证。而公式(3)也类似于导数的连锁法则。偏导数的连锁法则也有类似的公式;例如,当(u,v)对(x,y,z)连续可微,而(x,y,z)对(r,s,t)连续可微时,便有
如果(3)中的r能回到u,
,则(3)给出
。
这时必须有
(4)
于是以此为系数行列式的联立线性方程组 (2)中能够把(dx1,dx2,…,dxn)解出来,作为(du1,du2,…,dun)的函数。而根据隐函数存在定理,在(u1,u2,…,un)对(x1,x2,…,xn)连续可微的前提下,只须条件(4)便足以保证(x1,x2,…,xn)也对(u1,u2,…,un)连续可微,因而(4)必然成立。这样,连续可微函数组(1)便在雅可比行列式不等于零的条件(4)之下,在每一对相应点u=(u1,u2,…,un)与x =(x1,x2,…,xn)的邻近范围内建立起点与点之间的一个一对一的对应关系。
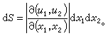
在n=2的情形,以Δx1,Δx2为邻边的矩形(ΔR)对应到(u1,u2)平面上的一个曲边四边形(ΔS),其面积ΔS关于Δx1,Δx2的线性主要部分,即面积微分是
这常用于重积分的计算中。
如果在一个连通区域内雅可比行列式处处不为零,它就处处为正或者处处为负(其正负号标志着u-坐标系的旋转定向是否与x-坐标系的一致)。如果雅可比行列式恒等于零,则函数组(u1,u2,…,un)是函数相关的,其中至少有一个函数是其余函数的一个连续可微的函数。