[拼音]:Feinie'er yanshe
[外文]:Fresnel diffraction
在非成像系统中,当光源或观察屏之一与孔径或障碍物之间的距离为有限时产生的衍射。这时衍射积分公式中的相因子(见光的衍射)不再像夫琅和费衍射情况那样,是波阵面次波坐标的线性函数,这种衍射的数学分析就复杂多了;可根据惠更斯-菲涅耳原理,用简化的半波带和细致的矢量图解法,可以求得圆孔圆屏在轴上的衍射光强。
半波带法和细致的矢量图解法半波带法的要点如下(图1):以场点 Po为中心,分别以b,
,
,
,…为半径将球面波阵面分割为一系列的环带(称为半波带),分析各个半波带在场点引起的各扰动之间的位相关系依次差 π,振幅关系A1、A2、…、Ak依次极其缓慢地减少,画出相干叠加的矢量图(图2), 或写出合成振幅的表达式如下:
A(Po)=A1-A2+A3-…+(-1)k+1Ak+…。
如果自由传播,全部半波带的贡献都应计及,则此时的合成振幅与强度分别为
振幅递减的原因是次波面(半波带)的倾斜因子引起的,Ak按(1+cosθk)函数随k的增加而下降,其中θk为第k个半波带的法线与半波带指向场点矢径之间的夹角。举一个数据,取R≈b≈1m,λ≈0.6μm,k≈104,此时θk≠0,如用θk≈0近似,给振幅带来的误差为 墹≈0.3%,由此足见Ak递减之缓慢程度。
半波带半径ρk的计算公式,当kλ
R,kλ
b,忽略(kλ)2项的近似条件下,可得
在平行光照明下,令R → ∞,有
。
如果对每个半波带作更仔细的分割,再分析这些微分环带在场点产生的各扰动的振幅关系与位相关系,画出相干叠加的矢量图则是一系列直径缓慢收缩的半圆弧所衔接起来的螺旋线(图3)。
菲涅耳圆孔衍射
设圆孔半径为ρ,若它包含整数k个半波带,利用半波带法得到的结果是:
k为偶数,
A(Po)=A1-A2+…+Ak-1-Ak≈0,
I(Po)≈0(暗点);
k为奇数,
A(Po)=A1-A2+A3+…-Ak-1+Ak≈A1=2Ao,
I(Po)=
=4Io(亮点)。
所以,当场点固定,让圆孔半径由小变大时,该点衍射光强时亮时暗周期性地变化,亮点光强是自由传播时的4 倍!若圆孔半径固定,让场点由近变远时,根据半波带半径公式,此过程中圆孔包含的半波带 k数逐渐下降,因此场点的衍射光强呈现时亮时暗的变化图像。不过,第二种情形下的变化远没有第一种情形那么敏感。须知,半波带的半径是很小的,举一个数据,R≈b≈1m, λ≈0.5μm,则ρ1=0.5mm,ρ100=5mm。
如果圆孔露出非整个半波带,则可由细致矢量图解法所提供的螺旋线求解。例如,当圆孔包含1.5个半波带时,求得
菲涅耳圆屏衍射
此时第一个半波带从圆屏外围开始,以后各个半波带全部开放,故轴上场点的合成振幅与光强分别为
可见,不论圆屏大小如何,中心Po点总是亮的,光强近乎自由传播时的光强。当然圆屏太大了,倾斜因子作用不可忽略,光强逐渐下降,但没有圆孔衍射那样随孔径增加而时亮时暗的情景。在圆屏的阴影中心居然会有一个醒目的亮点存在,这首先是S.-D.泊松根据菲涅耳原理算出的一个惊人的结论,菲涅耳原理经受着又一次的挑战,不久D.F.J.阿喇戈在实验上证明了这一论断果真属实。菲涅耳原理的成功极大地肯定了光的波动说的正确性,在几年之内就使得光的微粒说的声誉丧失殆尽。
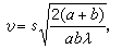
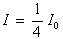
菲涅耳直边衍射当用一束平行光照明直边屏时,在远处屏幕上的衍射图样在几何影界邻近照明区内出现若干亮暗条纹,然后强度起伏逐渐减弱而趋向均匀,在几何阴影一侧仍有光强的扩展,尔后较快地衰减为零(全黑)。借助半波带法便可得到影界处的光强
,即等于自由传播光强的四分之一(图4)。轴外光强的定量计算较为麻烦,在相干的线光源产生的柱面波照明直边屏的情形下,可以利用菲涅耳积分表和考纽螺线(图5)按以下程序进行:设轴外点为P,由P向光源作垂线,与波阵面交于一点Mó,该点与Mo点的弧长为
,按下式算出无量纲参量
式中a、b分别是直边与光源及屏幕的距离。然后从考纽螺线坐标的原点出发,沿曲线滑动一段长度v而达到B点,连接B与考纽螺线卷曲中心点z,则 P点的振幅与光强分别为
实际上考纽螺线是按以下两个菲涅耳积分精确地绘制出来的。
通常由v值计算x、y 值可查菲涅耳积分表,于是合成振幅A(P)也可由(x,y)值直接表示出来