奇异积分方程

通常是指带有柯西核的奇异积分方程,它的一般形式是

    (1)

这里 L是复平面上的逐段光滑曲线,φ(t)是未知函数,α(t)、b(t)、ƒ(t)、K(tτ)都是给定的函数,K(tτ)最多只具有弱奇异性,方程(1)左端第二项的积分是在柯西主值意义下存在。解析函数论边值问题、潮汐理论、正曲率曲面的无穷小变形以及弹性理论、流体力学等问题都可以归结为奇异积分方程(1)。20世纪初期(J.-)H.庞加莱、D.希尔伯特以及后来的F.诺特、Η.И.穆斯赫利什维利等人都对奇异积分方程理论作出了重要贡献。

研究柯西型积分

    (2)

的边界性质(一般是在连续函数空间或平方可和函数空间来讨论)是解决方程(1)的关键。方程(1)的特征方程是

    (3)

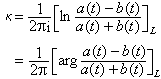
借助于所谓希尔伯特边值问题的标准解,方程(3)的解可以通过积分表成明显形式,这对于研究方程(1)的一般理论起着很重要的作用。为了讲清楚问题还必须引入指标的概念。把整数

叫做算子(或者方程Kφ=ƒ)的指标,这里[ ]L表示当t沿正方向绕L一周时,括号内的函数所获得的增量。

区别指标的不同情况,有以下结论。

(1)如果k>0,那么齐次方程k0φ=0刚好有k个线性无关解。

(2)如果k≤0,那么齐次方程k0φ=0没有非零解。

(3)如果k≥0,那么非齐次方程k0φ=ƒ对右端任意ƒ都是可解的。

(4)如果k<0,那么非齐次方程k0φ=ƒ可解的充分必要条件是它的右端ƒ满足-k个条件:

这里ψk是给定的线性无关函数,当这些条件满足时,方程0φ=ƒ有而且只有一个解。

研究一般奇异积分方程 (1)的重要方法之一是把它正则化(这时,奇异积分的换序公式将起重要作用),所谓正则化就是把它归结为一个在一定意义下与之等价的弗雷德霍姆积分方程。于是,类似于弗雷德霍姆备择定理,对于方程(1)可以证明以下定理(通常统称为诺特定理):

定理Ⅰ 方程(1)可解的充分必要条件是满足关系式

,    (4)

式中ψj(t)是相联方程

的线性无关解的完备系。

定理Ⅱ 齐次方程φ=0之线性无关解的个数k与相联齐次方程ψ=0之线性无关解的个数k┡之差刚好等于算子的指标k,即k-k┡=k

在奇异积分方程(1)中代替柯西核还可以考虑希尔伯特核,这两种核可以通过欧拉公式进行转化。于是关于柯西核积分方程的理论结果,在一定条件下可以相应地转移到带有希尔伯特核的奇异积分方程上去。另外,积分主值意义,除了柯西主值以外,还可以考虑阿达马主值。从而还可以讨论具有高阶奇异性的积分方程理论。

奇异积分方程的许多理论结果可以推广到奇异积分方程组上去,这只需要把方程(1)中的α(t)、b)(t)、K(tτ)理解为函数矩阵,而ƒ(t),φ(t)理解为函数向量。

多维区域上某些类型的奇异积分方程以及非线性奇异积分方程理论近年来也都得到了相应的发展。