固体的内聚能

分散的原子结合成固体时释放出的能量W。表1列出实验测得的各元素的内聚能。表2列出一些离子晶体的内聚能。

表1 表2

如果取分散原子的内聚能为零,把某一定点阵结构下,整个系统的内能U 随体积V的变化U(V)描述如图1,则内能的极小值应是-W。如果不考虑原子的热运动,固体所受压力p=-dU/dV。实验表明,各类固体在高压下体积的变化都不很大,因此固体的内能在体积小于平衡体积Vo时都急剧增长,使内能U和体积V的关系具有如图1的普遍形式。固体的体积模量K与内能的关系是

。 (1)

一般说,内聚能W 愈大,内能U(V)的极小值凹陷愈深,体积模量K也愈大。

图1

由表1、表2可见,各种固体的内聚能差异很大。人们注意到这个现象,并力求从微观理论加以解释和比较,从而了解各类固体的本质。下面分别作简要介绍。

惰性元素晶体

这类元素的电子壳层都是完满封闭的,每个原子就是一个分子,在固态组成简单的密堆积六角或面心立方结构的分子晶体。晶体的内能由各对原子之间的相互作用势能的总和决定。每对原子间的势能有两项,一项是分子间的范德瓦耳斯吸引势,它与惰性原子之间的距离 R的六次方成反比。另一项是由两原子的电子波函数重叠而引起的排斥势,近似正比于T-12。所以可以把它写为

, (2)

式中εσ是两个经验参量。这种形式的势称为勒纳-琼斯势(图2)。可以看到,能量极小值大致出现在R≈1.122σ处,此处的U(Ro)值是惰性元素晶体内聚能,它和孤立原子的能量差很小。所以这类固体的结合很弱,熔点很低。

图2 图3 离子晶体

如果两种元素的原子电负性相差很大,它们结成固体时便有电子从一种原子转移到另一种原子上去,于是固体结成由正、负离子交替排列而成的离子晶体。可以用NaCl晶体的例子(图3)来形象地表示由两种孤立原子形成离子晶体的过程。由孤立Na+和Cl-离子组成晶体的内聚能是7.9电子伏/分子。而由孤立Na、Cl原子组成晶体的内聚能则是

(7.9+3.6-5.1)=6.4 (电子伏/分子)。

与表相比较,可以看到这比元素Na和Cl的固体内聚能的总和大得多。

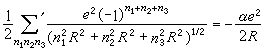
从理论上估计离子组成晶体时的相互作用能有两项:一项是离子间的库仑作用势,它包含同号离子的排斥势和异号离子的吸引势,以NaCl结构为例,可以写成

, (3)

式中R是最相邻离子间的距离,e是电子电荷,n1n2n3是整数。式中求和号带撇表示累加时不计n1n2n3=0的项,常数α 称为马德隆常数。下面给出几种常见的离子点阵的马德隆常数:

图

除去库仑势外,还要考虑到相邻离子的电子波函数重叠而引起的排斥势。它通常用以下经验公式来描述:

, (4)

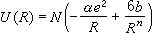
式中ρnb是经验常数。把(3)、(4)两式结合起来就得到晶体能量与相邻离子间距的关系式,例如采用b/Rn描述重叠排斥势得

, (5)

N 是晶体中的分子数。由平衡条件

, (6)

可得到平衡(能量极小)时的相邻离子间距Ro和离子晶体内聚能──U(Ro)(见表2)

共价晶体

电负性较强,而有外电子壳层未满的原子,如ⅣA-ⅥA族元素,往往结成共价晶体(或称为同极晶体)。相邻的两个原子各出一个电子,组成一对为两个原子所共有的电子。这两个电子自旋相反,在两个原子核之间的区域有较大的密度,起到同时吸引两个核的作用,把它们结合起来。这种电子结构称为共价键,是一种很强的键合。表3列出几种典型的共价键的单键结合能量。

表3

共价结合有两个基本的特征:“饱和性”即一个原子只能形成一定数目的共价键;和“方向性”即各共价键之间有很强的方向关系。这两个特征使共价晶体采取特定的结构。例如ⅣA族元素C、Si、Ge等都可形成金刚石结构。这种晶体中每个原子与处在四面体顶角方向的四个相邻原子之间各形成一个共价键。共价晶体内聚能基本上是这些共价键能的总和。

金属晶体

电负性比较小的原子(如ⅠA, ⅡA, ⅢA,ⅠB, ⅡB,ⅢB族绝大多数元素)结合成固体时,形成金属性晶体。这时原来分属于各个原子的价电子为整个晶体所“共有”。也就是说,价电子不再束缚在特定的原子上或某些相邻原子之间,而是在整个晶体内运动,它们的波函数遍及整个晶体。金属的高导电性、导热性和金属光泽,都和共有化价电子可以在整个晶体内自由运动相关。

金属晶体内聚能主要是靠共有化价电子所形成的充塞于整个晶体的负电荷海,和浸在这海中的失去了价电子的离子实构成的正电荷点阵之间的库仑吸引作用。显然,晶体的摩尔体积愈小,负电荷与正电荷的密度就愈大,这种库仑作用能Uσ也愈低。。但是另一方面,随着共有化电子密度的增加,它们的平均动能也增加,动能,这相当于一种排斥作用。另外当相邻的离子实接近到其电子云显著重叠时,它们之间也有如式(4)所表示的排斥作用能。考虑聚合作用与排斥作用互相平衡时的能量极小值,可以得出金属的内聚能。

因为金属结合主要是一种体积性的库仑作用,不具方向性,而离子实之间的重叠排斥又和硬球相似,所以大多数金属晶体都采取原子球密堆积的结构,如面心立方、六角密堆积结构等。

除上面简述的四种典型的晶体结合方式,通常还有一种氢键结合。在某些条件下,氢原子可以在两个电负性较强的原子(如F、O和N)之间形成特殊的结合。在极端的情况氢键是离子性的,氢原子失去它的电子,交给分子中另一个原子,这个裸露的质子构成氢键。氢键内聚能约为0.1电子伏特

许多实际固体的结合往往兼有上述两种或多种结合的特点,分析它们的内聚能就更复杂些,需要综合上述原理来考虑。应该指出,近年来应用大型电子计算机,在能带理论和电子气理论的基础上,可以具体计算晶体的内聚能。已经对大部分元素晶体和某些化合物晶体得到相当符合实验值的结果。