[拼音]:changweifen fangcheng jiexi lilun
[外文]:analytic theory of ordinary differential equation
复域上的常微分方程理论;应用复变函数论研究微分方程的性状,以及把微分方程的解视为由方程定义的解析函数,并直接从微分方程本身研究解的性质的理论。这是基于A.-L.柯西的基本定理,即在对微分方程作极为广泛的假设下,它的积分是复变数的解析函数。常微分方程解析理论与复变函数理论的发展密切相关。它的先驱性工作是由柯西、(G.F.)B.黎曼、I.L.富克斯、(J.-)H.庞加莱以及P.班勒卫等人所作。
解的存在性和惟一性定理
微分方程理论中最基本的问题是已给的方程是否有解,早先的数学家们力图通过已知初等函数的有限组合来表示微分方程的解,但在这个观念下大多数微分方程不可积。这实际上是要求方程的大范围通解,是不合适的,因为典型的分析运算与极限过程只要求局部的观点。另一方面,在物理和力学中的问题常是只要求适合某些补充条件的特解。于是柯西提出考虑如下的问题:方程
(1)
的右端ƒ(z,w)在(z0,w0)点的某个邻域内解析,问是否存在z的解析函数w(z;z0,w0),它在w0点的邻域满足方程(1),并且满足初值条件w(z0;z0,w0)=w0。他证明了在上述假设下,解是存在且惟一。这个定理称为柯西存在性定理。在复域中通常应用幂级数展开式给出惟一的形式解,然后用与某个已知的收敛幂级数相比较的方法(优函数方法)给出形式解的收敛性证明,从而完成存在性和惟一性定理的证明。
奇点
柯西存在性定理所证明的微分方程的解是局部的。即给出了一个解析函数元素,应用外尔斯特拉斯的解析开拓(见常微分方程初值问题)的方法,从z0点的邻域沿一途径Г开拓这个函数元素,如果方程(1)的右端也能沿Γ开拓,则解的开拓元素也满足方程。如果沿着所有可能的途径进行开拓,则得到的所有函数元素构成的集合在大范围定义了一个单值的或多值的函数。现在重要的问题是在解的整个存在区域上来研究它,而解的存在区域和解的性质是由它的奇点所决定的,这里奇点是指柯西存在性定理不成立的那些点。因此需要研究所考虑的方程的解的奇点的位置和性质。
微分方程的解出现的奇点较解析函数论中的情况要复杂得多。首先当自变量围绕某些点转一圈以后,函数从一个值变为另一个值,称这些点为分支点。代数函数可能具有的奇点称为代数奇点。非代数奇点的分类基于不定区的概念,函数ƒ在z0点的不定区是指以z0为中心的小圆在ƒ映射下的像集合当圆半径趋于0时的极根集合。若点z0的不定区由一点组成,则称z0为超越奇点,否则称为本性奇点。富克斯还对微分方程解的奇点提出一种重要的区分,即分为固定奇点和流动奇点。前一种由微分方程本身给出其位置和性质,与方程的个别解无关,也即与通解中所含的任意常数无关。后者则依赖于柯西问题的初始值,也就是依赖于特解的选择,它与任意常数一起变动。例如方程
的解以整数和无穷远点为固定奇点(极点);
和
分别有解为 
和
此时с分别是流动代数分支点,流动对数分支点和流动本性奇点。
班勒卫曾证明如下的定理(称班勒卫定理):若z0是方程(1)的解的奇点,则(z0,w0)不是方程右端ƒ(z,w)的全纯点。
这个定理首次确定解的奇点和方程奇点的关系,同时还说明在方程右端 ƒ(z, w)的全纯点处除了全纯解之外,不存在非全纯的解。当方程右端是w 的有理函数时,班勒曾卫列举可能出现奇点的种种情况。此外,如果ƒ(z,w)=P(z,w)/Q(z,w),(z0,w0)是P(z,w)和Q(z,w)的全纯点, 但P(z0,w0)=Q(z0,z0)=0,这种不确定的情形下,即使在P(z,w)和Q(z,w)是z 和w 的线性函数的情形,其解在z0点的邻域的性质也相当复杂。
一般地,当对方程的性状加上某些限制以后,也带给解的奇点某些限制,例如线性微分方程的解无流动奇点。1887年班勒卫曾证明,未知函数及其导数代数地出现于方程,而系数是z的解析函数的一阶代数微分方程,它的解无流动超越奇点和流动本性奇点。
反过来,如果对解的奇点作某些限制时,微分方程也要适合某些条件,例如其解无任何奇点的方程必为
一个重要的结论是:如果方程(1)的右端是w 的有理函数,其解无流动代数分支点,则方程(1)必化为如下的黎卡提方程
(2)
线性常微分方程
一类很重要的常微分方程,未知函数的最高阶导数是较低阶导数的线性函数,一般可写成
如果右端恒为零,则称为齐次线性微分方程。如果知道了齐次方程的通解,则能通过参数变动法(或称常数变易法,见初等常微分方程)得到非齐次方程的解。因此线性方程的中心问题是研究齐次方程,而n阶齐次线性方程的通解能由 n个线性独立的特解线性地表示出来。这个基本性质大大简化了对线性方程的研究。此外,在力学和电路理论中有关振动问题常化归为二阶线性方程,纯粹数学中的许多完美思想也是从这类方程的研究中产生,而且常常能展现出n阶线性方程的许多性质。所以大量的工作是关于二阶线性方程的。它的一般形式可写成
(3)
已知线性方程的解只有固定奇点,即解w(z)在一点的性质依赖于方程系数 p(z)和 q(z)在该点的性质。许多物理问题引起的微分方程都有奇点,因而对适应这种物理情况的解有较详细的讨论。在奇点领域,方程(3)的解能有如下表示式:设w1(z)和w2(z)是奇点 z0邻域的两个线性独立解,当围绕z0转一周时,它们接受一个线性变换,即
令λ1和λ2是A=
的特征根,则当λ1≠λ2时,(3)的解能写为
当λ1=λ2时,则为
式中ck(k=0,1,2)是常数,uk(z)(k=1,2,3)是在z0点邻域的洛朗级数。这个表示式的作用在于将解的单值解析部分和多值解析部分明显地表示出来。另一方面在大多数物理问题中,奇异性比较“弱”,出现较弱奇异性的点称为正则奇点,其定义如下:若在z0点,uk(z)(k=1,2,3)只有极点,则称z0为正则的;若uk(z)中至少有一个以z0为本性奇点,则称z0是非正则的。
下述几个特殊的二阶线性方程在实际应用和理论中都很重要。
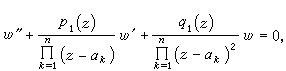
富克斯方程它是奇点全为正则奇点的方程。由于z0为正则奇点的充分必要条件是(z-z0)p(z)和(z-z0)2q(z)在z0点领域全纯,因此富克斯方程可写为
(4)
它也是具有正则奇点的仅有的方程,其中p1(z)、q1(z)在αk点全纯;并称
img src="/uploads/baike/4/41415y829729_25764" > (5)
为在αk点的指标方程,其中
,
。方程(5)的根称为指标数,记为
且有著名的富克斯关系式
这里αn+1=
。如果奇点的个数<4且都位于有限平面内,则方程能由奇点的位置和相应的指标数完全确定。特别是当 n=3时即导出超几何方程。对这个方程的研究有着悠久的历史,许多杰出的数学家如L.欧拉、C.F.高斯、E.E.库默尔和黎曼等人都有重要的贡献。这类方程在很多情形中出现,它与共形映射、差分方程、连分数和自守函数都有关系;且其理论具有形式上的高度完美性,今设 αk(k=1,2,3)为奇点,(
)为相应的指标数,则方程可写为
这个形式为黎曼所提出,又称为黎曼方程,它的积分(解)能由黎曼的P函数所表示,通常记为
一个相关的问题是确定一切多值函数,它们仅以给定的αk(k=1,2,3)为奇点,它的奇异性满足一定的要求,在每个奇点附近,此函数有两个独立的值,而任意三个值w1(z)、w2(z)、w3(z)线性相关,这个问题称为黎曼问题。它能化为黎曼方程的积分,一般地可通过超几何函数表示出来,这个问题先后由D.希尔伯特、J.普莱姆利和G.D.伯克霍夫解决和推广。
若富克斯方程的奇点为0、1和
,则引入超几何函数中常用的参数之后能导出高斯的标准形式
称为高斯方程或称超几何方程。它的解可表为超几何级数
式中(p)n=p(p+1)(p+2)…(p+n-1)。库默尔于1834年找出24个变换,使得具有三个至多是简单奇点的二阶富克斯方程化为具有不同参数的超几何方程。这24个变换对应着解由超几何级数表示的24个表达式。
勒让德方程它是形如
的方程。A.-M.勒让德于1785年首先考虑α=n为非负整数的情形。若令t=(1-z)/2,则它能化为以n+1、-n和1为参数的超几何方程,在z=1的全纯解为n阶勒让德多项式
。
它是形如
的方程。它的解称贝塞尔函数(见特殊函数),它和黎卡提方程密切相关,最早出现于丹尼尔第一·伯努利对悬链振动的研究中并为欧拉和贝塞尔所研究,近代又发现它在物理和工程上有多方面的应用,在纯粹数学的许多问题中也用到贝塞尔函数。
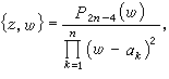
施瓦兹方程它是与二阶线性微分方程紧密相关的一类方程, 它由共形地映w上半平面为z平面上圆弧多边形内部的函数所满足,方程为
(6)
式中
称为施瓦兹导数;α1,α2,…,αn为多边形的角点, P2n-4(w)和2n-4次多项式。方程(6)的解具有一个重要的性质,即当围绕奇点环行一周时,它接受一个分式线性变换
又知二阶线性方程的两个线性独立的解之比亦具有相同的性质,因此方程(6) 的求解问题能化为适当选取的二阶线性方程的求解。设G是一分式线性变换群,ƒ(z)为一单值亚纯函数,如对于任一g∈G有ƒ(g(z))=ƒ(z),则称ƒ(z)是关于群 G的自守函数。自守函数与二阶微分方程有下述的关系:设w=ƒ(z)为自守函数,则z作为w 的函数可用微分方程z″+uz=0的两个独立解z1(w)和z2(w)之商表示<即
的反函数为w=ƒ(z)。
非线性微分方程
由于许多物理系统是非线性的,从而描述它们的微分方程也是非线性的,即未知函数或其导数非线性地出现于方程之中。对于非线性方程一般性质的了解不像线性方程那样完备和深入,而是知道得很少,而且它具有线性方程理论中所未见的新现象。下面只叙述非线性方程理论中的一些事实。
1856年C.A.布里奥和J.-C.布凯考虑如下的方程
(7)
式中 F(z,w) 是在某个双圆柱内两个变量的全纯函数。首要的问题是方程(7)是否存在全纯解。他们证明:如果q不是正整数。则(7)在z=0有惟一的全纯解w(z),且w(0)=0。若q=1,p≠0,则不存在全纯解。若p=0,q=1,则有无穷多个全纯解。他们还讨论下面的方程
(8)
式中P(x,y)是x和y的常系数多项式,并称(8)为k阶布里奥-布凯方程,或简称BB方程。他们指出,每一椭圆函数满足某个k阶BB方程,并且BB方程具有大范围单值亚纯解的必要条件是代数曲线P(x,y)=0的亏格为0或1。
19世纪末,班勒卫首先讨论了方程
式中F(z,w,w┡)是w和w┡的有理函数,系数为z的解析函数。他考虑定出只具有固定分支点和本性奇点的方程。B.O.冈比埃和富克斯对此问题亦作出重要贡献。一般方法是由班勒卫提出,基本技巧是他的α-方法。他们找到了50个不同的类型,但大多数能化为已知的方程,如线性方程或黎卡提方程。只有 6种类型的方程导出新的超越亚纯函数,这些方程是:



<">

等等,并称这些方程为班勒卫方程,它们的解称为班勒卫函数。1913~1914年,P.L.布特鲁对一类二阶方程发展了渐近积分的方法,并指出班勒卫方程的解在某种意义下渐近于外尔斯特拉斯椭圆函数。
常微分方程理论中奈望林纳理论的应用
20世纪20年代芬兰数学家R.奈望林纳创立了亚纯函数值分布理论。不久日本数学家吉田耕作应用此理论于一类非线性常微分方程的研究。50年代H.维蒂希更系统地研究了奈望林纳理论对常微分方程理论的意义,使得这一理论成为研究一类方程解的某些大范围性质(解的增长性,值分布性质,因子分解等)的重要工具。作为柯西存在惟一性定理的直接推论是下述常系数微分方程
(9)
的每一非常数亚纯解 w(z)都不取αj(j=1,2,…,n)为值。另方面,根据亚纯函数皮卡定理,任一非常数亚纯函数能取所有的复值为值,至多除去两个例外。因此,如果方程(9)具有非常数亚纯解,则必有方程(9)的右端对w的次数≤2。对此,在1913年J.马尔姆奎斯特得到了重要的推广,他证明了下述的马尔姆奎斯特定理:设方程(1)的右端是z和w的有理函数,如果方程存在全平面单值超越亚纯解,则(1)必为黎卡提方程。1933~1934年吉田耕作应用奈望林纳理论给出这个定理一个漂亮的证明,并且大大推进了结果。由于微分方程的解更多出现为有限多值的解析解,即代数体函数解,他还考虑了方程
(10)
的代数体解存在的必要条件,其中P(z,w)和Q(z,w)分别是w 的p次和q次多项式,系数是z的有理函数。他证明:若方程(10)存在v值超越代数体解,则必有p≤2nv和q≤2n(v-1)。特别地,当 n=v=1时即是马尔姆奎斯特定理。
上述类型的定理有种种证明和推广,其中一个重要的补充是由N.施泰因梅茨所得,他证明了:若(10)存在超越亚纯解, 则经过适当的分式线性变换
能化为6类标准的方程之一或它们的幂。这些方程除黎卡提方程外是:






等等。
此外,对于代数微分方程亦有相应的结果,中国数学工作者对相当广泛的高阶代数微分方程存在“较快”增长的代数体函数解的必要条件亦得到精确形式的马尔姆奎斯特型定理。近年来奈望林纳理论还被用来研究常微分方程复振荡理论、解的增长性估计和解的因子分解等。