几何异构

又称顺反异构。在有双键或环状结构的分子中,由于分子中与双键或环相连接的原子或原子团的自由旋转受阻碍,存在不同的空间排列而产生的立体异构现象。

类型

(1)在双键两侧的两个不饱和碳上,分别连有两个不同的原子或原子团时,会产生几何异构,例如:

公式 符号

随着分子内所含双键数目的增加,几何异构体的数目也随着增加,例如1-苯基-1,3-戊二烯有四种异构体:

公式 符号

(2)联烯或其类似物中取代基均在同一平面上时,也可用顺式、反式表示,例如:

公式 符号

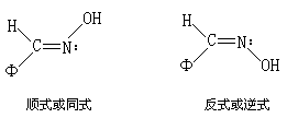
(3)在含碳-氮双键公式 符号结构的化合物中,如果与氮原子相连的另一个原子与C=N双键不在一条直线上,而偏在双键的一边,当双键碳原子连有不同的原子或原子团时,便存在几何异构体。例如,苯甲醛肟有下列两种异构体:

公式 符号

通常将羟基和氢位于双键同侧的称为顺式 (cis)或同式(syn),在异侧的称为反式(trans)或逆式(anti)。

(4)含氮-氮双键-N匉N-结构的化合物,也会有几何异构现象。它们的异构体可以用顺式、反式或用同式、逆式区别,例如偶氮苯

公式 符号

(5)环状化合物环上所连的原子或原子团,由于环的限制不能自由旋转。如果环上有两个或两个以上的碳原子各连有两个不同的原子或原子团时,便产生几何异构体。例如,1,4-二羧酸-环己烷有两种几何异构体:

公式 符号

(6)环与环并联于1,2位时,也产生顺反异构体,如十氢化萘:

公式 符号 几何异构体的命名

(1)顺反异构命名法,适用于与双键相连的两个碳原子上有相同的原子或原子团的几何异构体。一般将相同基团在双键的同侧的称为顺式,在双键的两侧的称为反式,例如:

公式 符号

如果双键碳原子上连有四个不同的取代基时,用顺反命名法很难确定哪一个能代表顺式,哪一个能代表反式。

(2)Z/E命名法,以原子序数的优先次序排列,如优先次序是a>b、d>e,两个占先的a和d在双键的同侧称为Z式;两个占先的a和d在双键的两侧称为E式,例如:

公式 符号

大多数几何异构体的Z式就是顺式,E式就是反式,但也有例外,例如:

公式 符号

如果双键碳原子上连接的取代基是 CH3-、CH3 CH2-、CH3CH2CH2 -等基团时, 则根据顺序规则CH3CH2CH2>CH3CH2>CH3>H。