[Æ´Òô]£ºkouqiang
[ÍâÎÄ]£ºoral cavity
Ïû»¯µÀµÄÆðʼ²¿£¬Ç°×Կڿ׿ªÊ¼£¬ºóÖÁÑʲ¿ÖÕÖ¹¡£¿Úǻǰ¶ËµÄճĤÉÏÆ¤ÊÇÍâÅ߲㣬ÆäÓಿ·ÖÊÇÄÚÅ߲㡣¿ÚÇ»ÄÚ°üÀ¨ÑÀ³Ý¡¢É༰¿ÚÏÙ 3ÖÖÖ÷Òª½á¹¹¡£Ô²¿ÚÀàȱÉÙÉÏÏÂò¢£¨¹ÊÓÖ³ÆÎÞò¢Àࣩ£¬ÆäÔ²ÐεĿÚ©¶·´Ó²»¹Ø±Õ£¬¿ÚλÓÚ¿Ú©¶·Éî´¦¡£ÓãÀàÓÐÁËÄܻµÄÉÏò¢ºÍÏÂò¢£¬ÓÉÉÏÏÂò¢ÏÞÖÆ×Å¿ÚÇ»£¬¹ÊÓãÀàÒÔÉϵĸ÷À༹׵¶¯ÎïÓÖ×ܳÆÎªÓÐò¢Àà¡£ÔÚ½ø»¯Ê·ÉÏ£¬Ëæ×Åò¢µÄ³öÏÖ²úÉúÁËÑÀ³Ý£¬Ê¹¶¯ÎïÄÜÖ÷¶¯²¶¡¢Ò§ºÍ¾×½ÀʳÎÔöÇ¿ÁË»ñµÃʳÎïµÄ»ú»á£¬Ìá¸ßÁËʳÎïÀûÓÃÂÊ(¼ûÏû»¯)¡£¶àÊýµÍµÈÓÐò¢À࣬¿ÚԵΧÒÔ±íÆ¤ÖåôÅ¡£¹êÀà¡¢ÄñÀ༰µ¥¿×ÀàµÄ¿ÚԵΪ±íƤµÄ½ÇÖÊ๣¬²¸È鶯ÎïµÄ¿ÚԵΧÒÔ¼¡ÈâÖʵĴ½£¬ÊǶÔÎü˱ÈéÖµÄÊÊÓ¦¡£Á½ÆÜÀàµÄ¿ÚÇ»¶¥²¿Ç°·½ÓÐÒ»¶ÔÄڱǿף¬Ê¹¿ÚÇ»³ÉΪʳÎïºÍ¿ÕÆøµÄ¹²Í¬Í¨Â·¡£ÑòĤ¶¯ÎïµÄ¿ÚÇ»¶¥±Ú³öÏÖÁË´ÎÉú¹ÇÖÊëñ£¬½«ÔÀ´µÄ¿ÚÇ»·ÖΪ±³²¿µÄ¿ÕÆøÍ¨Â·©¤©¤±ÇÇ»ºÍ¸¹²¿µÄ¿ÚÇ»¡£²¸ÈéÀàÔÚÓ²ëñÖ®ºó³öÏÖ¼¡ÈâÖʵÄÈíëñ£¬Äڱǿ×Ò²ÏàÓ¦µØºóÒÆ£¬Ê¹¿ÕÆøÍ¨Â·ºÍʳÎïͨ··Ö¿ª£»¿ÚÇ»³äӯʳÎïʱ£¬²¢²»·Á°ºôÎü¡£
ÑÀ³Ý
ÑÀ³Ý×î³õµÄ¹¦ÄÜÖ»ÊDz¶Ò§Ê³Î²¸ÈéÀàµÄÑÀ³Ý·Ö»¯¼æÓÐÇи´Ì´©¡¢ËºÁѺÍÑÐÄ¥µÈ¶àÖÖ¹¦ÄÜ¡£
Èí¹ÇÓãµÄÑÀ³Ý×ÅÉúÓÚÉÏÏÂò¢±ßÔµµÄƤ·ôÉÏ£¬Óëò¢Èí¹Ç²»Ö±½ÓÏàÁ¬£¬ÑÀ³ÝÊýÄ¿¶à£¬Ç°ºóÊýÅÅ£¬ÐÎ×´´óСÏàͬ£¨Í¬Ðͳݣ©£¬ÍÑÂäºóÐÂÑÀÔÙ³¤³ö£¨¶à³ö³Ý£©¡£öèÓãµÄÑÀ³ÝÊÇò¢±ßµÄ˜JÁÛ¼Ó´ó²¢ÍäÏòÄÚÐγɵġ£ÄàÅè¼ÍµÄÁÑ¿Úö裬Ìå±íÒÑÓИJÁÛ£¬×ì±ß³ÉÅżӴóµÄ˜JÁÛÔòΪҧ²¶Ê³ÎïÖ®Ó㬴ú±í×ÅÔʼÑÀ³ÝµÄ³öÏÖ¡£ÑÀ³ÝºÍ˜JÁÛÊÇͬԴÆ÷¹Ù£¬ÔÚ¸öÌå·¢ÉúÉÏÁ½ÕßͬÊÇÓÉÍâÅß²ãµÄÓÔÖʺÍÖÐÅß²ãµÄ³ÝÖʹ¹³É£¬ÖÐÑëΪËèÇ»£¬ÓÐÉñ¾ºÍѪ¹ÜͨÈëÇ»ÄÚ¡£
Ó²¹ÇÓãºÍÁ½ÆÜÀàµÄÑÀ³Ý×ÅÉúµÄ²¿Î»½Ï¹ã·º£¬³ý×ÅÉúÓÚò¢¹ÇÉÏ£¬Ò²³£×ÅÉúÔÚ³ú¹Ç£¬ëñ¹Ç¡¢¸±µû¹Ç£¬ÉõÖÁÑʹÉÏ¡£ÑÀ³ÝÒ»°ã×ÅÉúÔÚò¢¹Ç¶¥¶Ë£¬¼´¶ËÉú³Ý£¬ÈçÓ²¹ÇÓ㣬µ«Ò²ÓÐ×ÅÉúÔÚò¢¹ÇµÄÄÚ²àÃæ£¬¼´²àÉú³ÝÈç´óöò¡£
ÅÀÐÐÀàµÄÑÀ³Ý×ÅÉúÓÚÉÏÏÂò¢Ôµ£¬Ò²ÓÐ×ÅÉúÓÚëñ¹ÇºÍÒí×´¹ÇÉϵ쬾³£ÍÑÂä¸ü»»¡£¹êÓë±î²»¾ßÑÀ³Ý£¬¶ø´úÖ®ÒÔ½ÇÖÊÇÊ¡£ÑÀ³Ý³ý¶ËÉú³ÝºÍ²àÉú³ÝÍ⣬»¹ÓвÛÉú³Ý£¬×ÅÉúÔÚò¢¹ÇµÄ³Ý²ÛÄÚ£¬ÈçöùºÍ²¸ÈéÀà¡£²ÛÉú³Ý±È½ÏÀι̣¬ÊÇÒ»¸öºÜ´óµÄ½ø²½¡£¶¾ÉßÔÚÆäÉÏò¢µÄÑÀ³ÝÖУ¬ÓÐÊý³Ý£¨Ò»°ãΪ 2³Ý£©±ä³ÉΪ¾ßÓйµ»ò¹ÜµÄ¶¾ÑÀ¡£¶¾ÑÀµÄ»ù²¿Í¨¹ýµ¼¹ÜÓë¶¾ÏÙÏàÁ¬£¬Ò§ÊÉʱע¶¾ÒºÈëÉ˿ڡ£¶¾ÑÀºóÃæ³£Óкó±¸ÑÀ£¬µ±Ç°ÃæµÄ¶¾ÑÀÍÑÂäʱ£¬ºó±¸ÑÀ¾ÍµÝ²¹ÉÏÈ¥¡£ÔÚ±Õ¿Úʱ£¬¶¾ÑÀÏòºóÎÔµ¹¡£ÔÚÒ§ÊÉʱ£¬ÓÉÌØÊ⼡ÈâÊÕËõʹ֮ÊúÁ¢¡£
ÏÖ´úÄñÀà½ÔÎ޳ݣ¬µ«»¯Ê¯ÄñÓгݣ¬ÈçÊ¼×æÄñ¡¢»Æ»èÄñµÈ¡£
²¸ÈéÀàÑÀ³ÝµÄÌØµãÊÇ£º
£¨1£©ÔÙÉú³Ý£¬¼´Ò»Éú½ö»»Ò»´ÎÑÀ£¬Èé³ÝÍÑÂäºó»»³öºã³Ý£¨ÉÙÊýÖÖÀ࣬Èç³Ý¾¨¡¢µ¥¿×Àà¡¢º£Å£µÈÊÇÒ»´Î³ö³Ý£¬²»»»ºã³Ý£©£»
£¨2£©²ÛÉú³Ý£¬Ã¿Ò»³Ý½Ô×ÅÉúÓÚµ¥¶ÀµÄ³Ý²ÛÄÚ£»
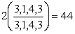
£¨3£©ÒìÐͳݣ¬·ÖΪÃųݡ¢È®³Ý¡¢Ç°¾Ê³ÝºÍ¾Ê³Ý¡£·Ö±ðΪÇжϡ¢´Ì´©ºÍÑÐĥʳÎïÖ®Óᣲ¸ÈéÀàͬһÖÖÊÞÀàµÄÑÀ³Ý·Ö»¯µÄÐÎ×´ºÍÊýÄ¿½ÔÏàͬ£¬¿ÉÒÔÁгɳÝʽ¡£ÈçÍõijÝʽ
±íʾ£ºÉÏò¢Ã¿²àÓÐ2¸öÃųݡ¢ÎÞÈ®³Ý¡¢3¸öǰ¾Ê³Ý¡¢3¸ö¾Ê³Ý£¬ÏÂò¢Ã¿²àÓÐ1¸öÃųݡ¢ÎÞÈ®³Ý¡¢2¸öǰ¾Ê³Ý¡¢3¸ö¾Ê³Ý£¬ºÏÆðÀ´³ËÒÔ 2£¬¼´Îª×ÜÊý28¡£ÖíµÄ³ÝʽÊÇ
£»È˵ijÝʽÊÇ
¡£
²¸ÈéÀàµÄÑÀ³Ý¿ÉÒÔ·ÖΪʳ³æÐÍ¡¢Ê³ÈâÐÍ¡¢Ê³²ÝÐͺÍÔÓʳÐÍËÄÖÖ¡£Ê³³æÐÍÃųݼâÈñ£¬È®³Ý²»·¢´ï£¬¾Ê³Ý³Ý¹ÚÉÏÓÐÈñÀûµÄ³Ý¼â£¬³Ý¼âͼ°¸¶à³Ê¡°W¡±ÐÍ£»Ê³ÈâÐÍÃųݽÏС£¬Éٱ仯£¬È®³ÝÌØ±ð·¢´ï£¬¾Ê³Ý³£ÓмâÈñµÄÍ»Æð£¬ÉÏò¢×îºóÒ»¸öǰ¾Ê³ÝºÍÏÂò¢µÚÒ»¾Ê³ÝÌØ±ðÔö´ó£¬³Ý¼â·æÀûÓÃÒÔ˺ÁÑÈ⣬³ÆÎªÁѳݡ£Ê³²ÝÐÍÈ®³Ý²»·¢´ï»òȱÈ磬ÃųݺÍǰ¾Ê³Ý¼ä³£¾ß¿íÀ«³Ý϶£¬³Æ³ÝÐé룬¾Ê³Ý±âƽ£¬¾×½ÀÃæ¿íÀ«£¬³Ý¹Ú¸ß¡£ÔÓʳÐ͵ľʳݳݹڶàΪÇðÐΡÆð¡£
²¸ÈéÀàµÄÑÀ³ÝÓëʳÎïÐÔÖÊÃÜÇÐÏà¹Ø£¬¶øÊ³ÐÔÓÖÓ붯ÎïµÄÕûÌå½á¹¹Óйأ¬Òò´Ë£¬ÑÀ³Ý¾Í³ÉΪÑо¿¶¯ÎïÕûÌå½á¹¹Ó빦ÄܵÄÒ»¸öÖØÒªÖ¸±ê£¬Ò²ÊÇ·ÖÀà¼ø¶¨¶¯ÎïµÄÖØÒªÒÀ¾Ý¡£ÑÀ³ÝÊÇÉíÌåÖÐ×î¼áÓ²µÄ²¿·Ö£¬ÊýÄ¿Óֶ࣬Ò×ÓÚÔڵزãÉϱ£´æ³ÉΪ»¯Ê¯£¬ËùÒÔÒ²ÊǹÅÉúÎïѧÉÏ×îÓмÛÖµµÄ²ÄÁÏ¡£
¼¹×µ¶¯ÎïÑÀ³Ý½ø»¯µÄÒ»°ãÀú³ÌÊÇ£ºÓÉͬÐͳÝÁе½ÒìÐͳݣ»Óɶà³ö³Ýµ½ÔÙÉú³Ý£»ÓɶËÉú³ÝºÍ²àÉú³Ýµ½²ÛÉú³Ý£»ÓÉÊýÁ¿¶à¶ø²»ºã¶¨µ½ÊýÁ¿ÉÙ¶øºã¶¨;ÓÉ×ÅÉú²¿Î»¹ã·º(ÉÏÏÂò¢¡¢³ú¹Ç¡¢ëñ¹Ç¡¢¸±µû¹ÇµÈ´¦)µ½½ö×ÅÉúÓÚÉÏÏÂò¢¡£
²¸È鶯Îïͨ¹ý¾×½À¼¡µÄÊÕËõ£¬¿ÉʹÏÂò¢ÏòÉÏ¡¢Ï¡¢×óÓÒ¼°Ç°·½Ô˶¯£¬ÉÏÑÀÁкÍÏÂÑÀÁл¥Ïà½Ó´¥Ò§½ô£¬¿É²úÉúºÜ´óµÄѹÁ¦£¬ÒÔÄ¥Ëé¡¢Çиî»ò˺ÁÑʳÎ±ãÓÚʳÎïµÄÏû»¯¡£È˳ÝÒ§½ôʱ£¬ÉÏ¡¢ÏÂÑÀÁÐÖ®¼ä0.5ƽ·½ÀåÃ×µÄÑÀÃæÉÏ¿ÉÓÐ20ǧ¿ËµÄÁ¦¡£
Éà
ÎIJýÓãÎÞÉà¡£Ô²¿ÚÀàµÄÉàÏóßóͲÖеĻîÈû£¬Éà¶ËÓнÇÖʳݿÉï±ÆÆ¼ÄÖ÷©¤©¤ÓãµÄƤ·ô¶øÎüʳÆäѪÈâ¡£ÓãÀàÉàÓÉ»ùÉà¹ÇÖ§³Ö£¬Éà±¾ÉíûÓÐÉàÄÚ¼¡£¬½öÄÜÉÔ×÷ǰºóŲ¶¯ÓÃÒÔ°ïÖúÍÌʳ£¬µ«²»ÄÜ×÷´ó·ù¶È¶¯×÷¡£ÎÞβÁ½ÆÜÀàÒÔÉÏ£¬ÉàÓÐÉàÄÚ¼¡£¬ÄÜ×ÔÓÉÉìËõ£¬ÉಿÓи´ÔÓµÄÏÙÌå¿É·ÖÃÚÕ³ÒºÕ³×ÅÀ¥³æ¡£ÅÀÐÐÀàµÄ¹êºÍöù£¬Éà×ÅÉúÔÚ¿ÚÇ»µ×£¬²»ÄÜÏòÍâÉì³ö£»ÓÐÁÛÀàµÄÉà»î¶¯ÐÔ´ó£¬ÉߺÍһЩòáòæµÄÉà¿ÉÒÔÉì³öºÜÔ¶¡£ÉßµÄϸ³¤¶ø¼â¶Ë·Ö²æµÄÉ࣬Ë׳ơ°ÐÅ×Ó¡±£¬×ÜÊÇÔÚ²»Í£µØÍÌÍÂ×Å£¬»ØÊÕʱ£¬Éà¼â½øÈëÀç±ÇÆ÷µÄÄÒÄÚ£¬ÄÒÄÚ±Ú¾ßÓÐÐáճĤ£¬ÓÐÐáÉñ¾µÄ·Ö֦ͨÈë¿É¼à²âÉà¼â´øÈëµÄ»¯Ñ§ÎïÖÊ£»±ÜÒÛµÄÉ༫Ϊ·¢´ï£¬ÊÇÌØÊâµÄ²¶Ê³Æ÷£¬Æ½Ê±ÊÕËõÔÚ¿ÚÇ»ÄÚ£¬²¶Ê³Ê±Ñ¸ËÙÉì³ö£¬Æä³¤¶È¼¸ÓëÌ峤ÏàµÈ¡£ÄñÀàµÄÉàÓ²£¬±íÃæ±»¸²½Ç»¯µÄÉÏÆ¤£¬Ò»°ã²»Äܻ¡£×ÄľÄñµÄÉàºÜ³¤£¬Ç°¶Ë¾ßµ¹¹³£¬ÊÊÓÚ×ÄÈ¡Ê÷ľÖеÄÀ¥³æ£»·äÄñµÄÉàǰ¶Ë³Ê¹Ü×´»òË¢×´£¬ÊÊÓÚ×ÄÈ¡»¨ÃÛ¡£
²¸ÈéÀàÓз¢´ïµÄ¼¡ÈâÖʵÄÉ࣬ÄÜ×ÔÓɻ¡£ÉàÓëʳÎï½Á°è¡¢ÍÌÑÊ¡¢Îü˱Óйء£¿ÚÇ»±Ú¼¡ÈâºÍÉ༡ÊÕËõ¿Éʹ¿ÚÇ»ÄÚ¿ÕÆøÑ¹Á¦½µµÍ£¬´Ó¶ø½«ÒºÌåÎüÈë¡£²¸ÈéÀàºÍÈ˵ÄÉà·ÖΪÉà¸ù¡¢ÉàÌåºÍÉà¼âÈý²¿·Ö¡£Éà¸ù¡¢ÉàÌåÓë¿ÚÇ»µ×ÏàÁ¬£¬Ö»ÓÐÉà¼âÊÇÓÎÀëµÄ¡£ÉàµÄ¸¹ÃæÒÔÉàϵ´øÓë¿ÚÇ»µ×ճĤÏàÁ¬¡£Éà±³±íÃæÕ³Ä¤ÉÏÓÐһϵÁÐÈéÍ·:˿״ÈéÍ·£¬Þ¦×´ÈéÍ·¡¢ÂÖÀªÈéÍ·ºÍÒ¶×´ÈéÍ·¡£Ë¿×´ÈéÍ·ÊýÁ¿×î¶à£¬³ÊÈÞë״£¬Ãܲ¼Éà±³Ãæ£»Þ¦×´ÈéÍ·ÊýÁ¿½ÏÉÙ£¬ÐÎ×´ÈçÞ¦£¬¶¥¶Ë³ÊÔ²ÐΣ¬É¢ÔÚÓÚ˿״ÈéÍ·Ö®¼ä£»ÂÖÀªÈéÍ·½öÒ»¶Ô£¬Î»ÓÚÉà¸ù´¦£»Ò¶×´ÈéÍ·Ò»¶Ô£¬Î»ÓÚÂÖÀªÈéÍ·µÄǰÍâ²àÔµ£¬Ðδ󣬳ʳ¤Ô²ÐΣ¬±íÃæÓÐÆ½ÐеÄÖåñÞ¡£Ë¿×´ÈéͷΪ´¿»úеÐÔ×÷Óã¬ÆäËû3ÖÖÈéÍ·ÄÚ¾ùÓÐζ¾õ¸ÐÊÜÆ÷©¤©¤Î¶ÀÙ¡£Î¶ÀÙ³ÊÂÑÔ²Ðλ¨°úÑù£¬ÓÉÖ§³Öϸ°ûºÍζÀÙϸ°û×é³É£¬ÓÐζ¿×ͨÏòÉà±íÃæ¡£Î¶ÀÙϸ°û¶¥²¿ÓÐζëÉìÏòζ¿×£¬»ù²¿ÓëÉñ¾ÏËά½ôÃÜÏàÁ¬¡£ÈÜÓÚÍÙÒºµÄʳÎï×÷ÓÃÓÚζ룬²úÉúÉñ¾³å¶¯£¬ÓÉÉñ¾ÏËά´«µ½ÖÐÊ࣬²úÉúζ¾õ¡£
ÉàÈéÍ·ÉÏÆ¤³£½Ç»¯ºÍÍÑÂ䣬ËüÃÇÓëʳÎï²ÐÔü¡¢ÍÙÒºµÈ»ìºÏ£¬ÔÚÉàճĤ±íÃæÐγÉÒ»²ã±¡Ì¦£¬³ÆÎªÉà̦¡£È˵ÄÉà̦¿ÉÒòÉíÌåÇé¿ö²»Í¬¶øÓв»Í¬µÄÑÕÉ«±ä»¯£¬¹Û²ìÉà̦ÊÇ׿¹úҽѧÕï¶Ï¼²²¡µÄÒ»¸öÖØÒª×é³É²¿·Ö¡£
¿ÚÏÙ
Ô²¿ÚÀàÓÐÌØÊâµÄ¿ÚÏÙ£¬Æä·ÖÃÚÎï¿ÉÒÔʹËÞÖ÷µÄѪҺ²»Äý¡£ÓãÀà¿ÚÇ»ÄÚûÓпÚÏÙ¡£Á½ÆÜÀà¿ÚÇ»ÄÚÓзÖÃÚÕ³ÒºµÄò¢¼äÏÙ£¬Î»ÓÚǰò¢¹ÇºÍ±ÇÄҼ䡣ÅÀÐÐÀàµÄ¿ÚÏÙ·¢´ï£¬°üÀ¨´½ÏÙ¡¢ëñÏÙ¡¢ÉàÏÙºÍÉàÏÂÏÙ£¬Æä·ÖÃÚÎïÓÐʪÈóʳÎïºÍÕ³²¶Ê³ÎïµÄ×÷ÓÃ;¶¾Éߵ;ÏÙÊDZä̬µÄ´½ÏÙ£¬ÏÙµ¼¹Üͨµ½¶¾ÑÀµÄ¹µ»ò¹ÜÖС£º£¹êºÍöùÀàµÄ¿ÚÏÙ²»·¢´ï¡£ÄñÀàÒÀʳÐÔ¶ø²»Í¬£¬Ë®ÆÜÄñÀ༰Éú»îÓÚÕÓÔóÒÔ³±ÊªÊ³ÎïΪʳµÄÄñÀ࣬¿ÚÏÙ²»·¢´ï£»ÒÔ¸ÉÔïʳÎïΪʳµÄÄñÀ࣬¿ÚÏÙ·¢´ï¡£Ò»°ãÄñÀàµÄÍÙÒº½öÆðÈó»¬Ê³ÎïµÄ×÷Ó㬽öʳ¹ÈÎïµÄÑàȸÀàµÄÍÙÒºÖÐÓÐÏû»¯Ã¸¡£
²¸ÈéÀàµÄ¿ÚÏÙ·¢´ï£¬³ýһЩС¿ÚÏÙÍ⣬»¹ÓжúÏÂÏÙ¡¢ò¢ÏÂÏÙ¼°ÉàÏÂÏÙ£¬Íû¹ÁíÓпôÏÂÏÙ¡£¶úÏÂÏÙÓÖ³ÆÈùÏÙ£¬Î»ÓÚ¶ú¿Ç»ù²¿Ö®¸¹ÃæÇ°·½£¬Îª·ÛºìÉ«ÏÙÌ壬Æäµ¼¹ÜÏòǰºá¹ýÒ§¼¡Ö®±íÃæ¶øÉîÈëÉÏ´½£¬¿ª¿ÚÓÚÉÏò¢µÚ¶þǰ¾Ê³ÝµÄ²¿Î»¡£ò¢ÏÂÏÙλÓÚÏÂò¢µÄ¸¹ÃæÁ½²à£¬ÎªÒ»¶ÔӲʵµÄÂÑÔ²ÐÎÏÙÌ壬Æäµ¼¹ÜÏòǰ×ßÐÐÔÚÉàϲ¿Á¬½ÓÏÂò¢¹ÇÁªºÏ·ì´¦£¬¿ª¿ÚÈë¿ÚÇ»¡£ÉàÏÂÏÙλÓÚ½Ó½üÏÂò¢¹ÇÁªºÏ·ì´¦£¬½ÏС£¬³Êϸ³¤ÌõÐΣ¬Óм¸ÌõƽÐеĵ¼¹Ü¿ª¿ÚÓÚÉàϲ¿¡£ÍõĿôÏÂÏÙλÓÚÑÛÎѵײ¿¡£
²¸ÈéÀà·ÖÃÚµÄÍÙÒº¿ÉÒÔÇå½à¿ÚÇ»£¬ÊªÈóʳÎÈܽâʳÎï²úÉúζ¾õ£¬Èóʪ¿Ú¡¢´½ºÍºíµÄճĤÓÐÖúÓÚ·¢Òô£¬ÍÙÒºµí·Ûø¿ÉÒÔ½«µí·ÛË®½â³ÉÂóÑ¿ÌÇ¡£´ËÍ⣬ÍÙÒºÏÙ»¹ÓÐÅÅйijЩ²¡¶¾£¨Èç¿ñÈ®²¡¶¾£©ºÍ½øÈëÌåÄÚµÄÖØ½ðÊô£¨È繯ºÍǦµÈ£©µÄ¹¦ÄÜ¡£
²Î¿¼ÎÄÕÂ
- ³¤É³ÊпÚǻҽԺ֪Ãûר¼ÒÒ½ÉúÒ½ÁƲ©ÀÀ
- ºÏ·ÊÊпÚǻҽԺ֪Ãûר¼ÒÒ½ÉúÒ½ÁƲ©ÀÀ
- ÄϾ©Ò½¿Æ´óѧ¸½Êô¿ÚǻҽԺ֪Ãûר¼ÒÒ½ÉúÒ½ÁƲ©ÀÀ
- ÎÂÖÝÒ½¿Æ´óѧ¸½Êô¿ÚǻҽԺ֪Ãûר¼ÒÒ½ÉúÒ½ÁƲ©ÀÀ
- Ìì½òÊпÚǻҽԺ֪Ãûר¼ÒÒ½ÉúÒ½ÁƲ©ÀÀ
- ÇൺÊпÚǻҽԺ֪Ãûר¼ÒÒ½ÉúÒ½ÁƲ©ÀÀ
- Î÷°²½»Í¨´óѧ¸½Êô¿ÚǻҽԺ֪Ãûר¼ÒÒ½ÉúÒ½ÁƲ©ÀÀ
- ÔõÑù¶Ô´ý¿ÚÇ»°×°ß£¿¿ÚÇ»¿Æ
- ¸´·¢ÐÔ¿ÚÇ»À£ÑñµÄÖÎÁÆ·½·¨ÓÐÄÄЩ£¿¿ÚÇ»¿Æ
- ¼ªÁÖ´óѧ¿ÚǻҽԺ֪Ãûר¼ÒÒ½ÉúÒ½ÁƲ©ÀÀ