[拼音]:shuzhi tianqi yubao changyong jisuan fangfa
[外文]:current computational methods in numerical weather prediction
数值天气预报中所用的方程大多是非线性的,迄今还没有一种解析求解方法,常用的是数值求解方法。其中最常用的是差分法,其次是谱方法。
差分法即用差商代替微商的方法。考虑任意函数f(x,у,t),其偏微商 дf/дx可以用几种不同的形式来近似表示。如
等。其中Δxf=f(x+Δx,у,t)-f(x -Δx,у,t),δxf=f(x+Δx,у,t)-f(x,у,t);Δx是网格距,至于对自变量у和t的偏微商,只要用у或t代替上面两式中的x,用Δу或Δt 代替Δx,便可得到类似的表示式。通常称Δxf/2Δx为中央差,δxf/Δx为向前差。
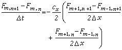
L.F.理查孙最早将这种方法应用于天气预报问题。他用中央差代替空间微商,用向前差代替时间微商,认为这样一步步地计算,就可以作出预报。如对于平流方程:
其相应的差分方程为
其中cx为波速,F为函数,x为空间自变量,t为时间自变量,m 是代表空间的下标,m 是代表时间的下标。依此式则由前一时刻的值,可以求得后一时刻的值。这称为显式差分格式。实践表明,问题并不这样简单。如果用一个单波解代入F(x,t),就不难发现,差分方程的解将随时间无限增长而与真解毫无相似之处。这种现象被称为“线性不稳定”。若时间也取中央差,则保持数值解的计算稳定性的充分条件是
。这称为“线性稳定性判据”。经验表这个条明,件对复杂得多的方程也是需要的。在数值预报中,通常网格距取200公里左右。对过滤模式,cx<50米/秒,Δt允许超过 1小时。如用原始方程模式,cx≈300米/秒,Δt只能是几分钟(见大气模式)。为了使计算稳定,又提出了隐式差分格式。它同上面所述的显式差分格式不同。如平流方程的隐式差分格式为
这种差分格式虽具有计算稳定的优点,但工作量较大。为了克服这个缺点,1961年曾庆存首先提出了半隐式差分格式,它兼有显式格式和隐式格式的优点,可以取较长的时间步长而节约大量的计算时间。
不过,对于非线性方程,即使线性稳定性判据得到满足,计算也不一定是稳定的。1959年,N.A.菲利普斯在实际计算中发现,存在一种无论怎样缩小 Δt 也不能排除的不稳定现象。他认为是由非线性作用产生的短波被虚假地表示了的所谓“混淆现象”引起的,称为“非线性不稳定性”。这种不稳定性,并非大气运动中由于物理原因产生的,而是由于在构造差分格式时,破坏了原微分方程的性质而造成的,因此也称为计算不稳定性。为了克服这个困难,可以考虑使差分方程保留原微分方程所具有的在计算域内总的守恒性质〔如总能量守恒,总位涡度(见大气动力方程)平方守恒等〕的格式。这时,在时间积分过程中预报量保持有界,因而这种格式对非线性不稳定性有抑制作用。
由于实际需要,有时还须要制作较小范围的区域性预报。根据实践,这种预报以用“套网格”制作效果较好。所谓“套网格”,是指在计算域中置两种以上网格,其中一部分网格距较大,另一部分较小,而细网格计算域又包含在粗网格计算域中。用这种套网格法可以提高局部地区的分辨率,从而提高预报的准确率。
谱方法将微分方程组中函数的空间变化用正交函数的级数的前有限项展开,通过一系列积分运算,使微分方程组变换成以展开系数和其对时间的微商的常微分方程组,以求得近似数值解的方法。正交函数的选择,依赖于区域的几何形状。谱方法通常用来解半球或全球问题,并多用球面调和函数。1954年,有人提出用球面调和函数解正压涡度方程的谱方法,时间外推方法和差分法相同。以后,虽然有不少人继续研究,但由于这种方法的计算量很大,特别是非线性项,更是如此。长期以来,这种方法一直停留在研究试验阶段。1970年,A.埃利亚森等利用当时刚发展起来的快速富氏变换计算非线性项,空间微商用谱方法进行,乘积运算在网格点上完成,回避了直接计算非线性项中相互作用系数的大量工作,使计算量大为减少。
一般说来,谱方法的优点是:
(1)空间微商的计算精确,有利于减小位相误差;
(2)可以避免非线性混淆现象,使非线性不稳定性不易产生;
(3)便于解泊松方程;
(4)能自动并彻底地滤去短波,比一般差分法中用平滑算符好;
(5)解全球或半球问题可以没有奇异点。缺点是:
(1)表示非线性项所需的计算量和存储量均较大,计算量随波数增加得太快;
(2)对分布不太连续的物理量,容易发生跳跃现象,必须用较多的波才能表示;
(3)象降水那样的局部地区天气现象和其伴随的潜热加热作用,必须知道整个场的预报量,这就经常要把所有的谐波分量重新组合起来。总之,在研究局地现象时还是采用粗细网格相套的差分法更加灵活方便。