´óÆø¶¯Á¦·½³Ì

Ãèд´óÆøÔ˶¯ºÍ״̬±ä»¯µÄ·½³Ì¡£ÔÚ´óÆø¶¯Á¦Ñ§ÖУ¬¸ù¾Ý¾­µäÁ¦Ñ§µÄÅ£¶ÙÔ˶¯¶¨ÂÉ£¬ÌرðÊÇÅ£¶ÙµÚ¶þÔ˶¯¶¨ÂÉ£¬ÍƵ¼³ö´óÆøÔ˶¯·½³Ì£»¸ù¾ÝÖÊÁ¿Êغ㶨ÂÉ£¬ÍƵ¼³ö´óÆøÁ¬Ðø·½³Ì£»¸ù¾ÝÈÈÁ¦Ñ§µÚÒ»¶¨ÂɵóöÈÈÁ÷Á¿·½³Ì£»ÔÙ¼ÓÉÏ״̬·½³ÌºÍË®Æû·½³Ì£¬¾Í¹¹³ÉÁËÃèд´óÆøÔ˶¯ºÍ״̬±ä»¯£¨°üÀ¨Ë®µÄÏà±ä£©µÄ¶¯Á¦·½³Ì×é¡£ÕâÌ×·½³Ì×éÊÇÑо¿´óÆøµÄÒ»ÇÐÔ˶¯ºÍÏÖÏóµÄ»ù´¡¡£

¶¯Á¦·½³Ì×é

Ô˶¯·½³Ì

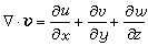
Ôڹ̶¨ÓÚµØÃæµÄ×ø±êÖУ¬¶Ôµ¥Î»ÖÊÁ¿Æø¿é¶øÑÔ£¬ÓÉÅ£¶ÙµÚ¶þ¶¨ÂɵôóÆøÔ˶¯·½³ÌµÄʸÁ¿ÐÎʽΪ

ʽÖÐvΪ·çËÙʸÁ¿£¬tΪʱ¼ä£¬dv/dtÎªÆø¿éµÄ¼ÓËÙ¶ÈʸÁ¿£»ÎªÖØÁ¦£»ÎªÆøÑ¹ÌݶÈÁ¦£¨¦Ñ¡¢p·Ö±ðΪ¿ÕÆøµÄÃÜ¶ÈºÍÆøÑ¹£©£»¦ØÎªµØÇò×Ôת½ÇËÙ¶ÈʸÁ¿£¬Îª¿ÆÀï°ÂÀûÁ¦£»FΪճÐÔÁ¦£¬Ö÷ÒªÊÇÍÄÁ÷Õ³ÐÔÁ¦£¨¼û´óÆøÖеÄ×÷ÓÃÁ¦£©¡£

Á¬Ðø·½³Ì

´óÆøÊǾ߿ÉѹËõÐÔµÄÁ¬Ðø½éÖÊ£¬ÓÉÖÊÁ¿Êغ㶨Âɿɵãº

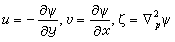
Õâ¾Í³ÆÎªÁ¬Ðø·½³Ì¡£ ʽÖЉ¢¡¤£¨pv£©ÎªÈýάÖÊÁ¿É¢¶È¡£³ÆÎªÈýάËÙ¶ÈÉ¢¶È£¬ÆäÖÐu¡¢v¡¢w·Ö±ðÊÇx¡¢y¡¢z·½ÏòµÄËÙ¶È·ÖÁ¿¡£ÎªË®Æ½ËٶȵÄÉ¢¶È£¬D>0£¬ÎªË®Æ½·øÉ¢£»D<0£¬ÎªË®Æ½·øºÏ¡£

ÈÈÁ÷Á¿·½³Ì

ÓÉÈÈÁ¦Ñ§µÚÒ»¶¨ÂÉ¿ÉÍÆ³öÈÈÁ÷Á¿·½³Ì£º

ʽÖÐcpΪ¶¨Ñ¹±ÈÈÈ£¬¦ÈΪλΣ¬QΪµ¥Î»ÖÊÁ¿Æø¿éÔÚµ¥Î»Ê±¼äÄÚ´ÓÍâ½çµÃµ½µÄÈÈÁ¿£¬ÕâÊôÓڷǾøÈȼÓÈÈ¡£Í¨³£Q =Q1+Q2+Q3£¬ÆäÖÐQ1Ϊ·øÉä¼ÓÈÈ£¬Q2ΪDZÈȼÓÈÈ£¬Q3Ϊ¸ÐÈȼÓÈÈ£¨Ö÷ÒªÊÇÍÄÁ÷¸ÐÈÈÊäËÍ£©¡£

ÔÚÔ˶¯¹ý³ÌÖУ¬Èç¹û´óÆø²»ÓëÍâ½ç½»»»ÈÈÁ¿£¬¼´Q=0£¬ÔòÈÈÁ÷Á¿·½³Ì±äΪ¾øÈÈ·½³Ì£º

ÔÚ¾øÈȹý³ÌÖУ¬Æø¿éµÄλÎÂÊØºã¡£Î»Î³£ÓÃÀ´Ê¶±ðÆøÍÅ¡£

״̬·½³Ì

¾ùÔÈÎïÖÊϵͳ´¦ÓÚÈÈÁ¦Ñ§Æ½ºâ״̬ʱ£¬ÆäÌå»ý¡¢Ñ¹Ç¿ºÍζȼäµÄ¹ØÏµÊ½¡£ÔÚ¶ÔÁ÷²ãºÍƽÁ÷²ãµÄ´óÆø£¬¿ÉÊÓΪÀíÏëÆøÌ壬ÆäÆøÑ¹<p¡¢ÆøÎÂT ºÍÃÜ¶È¦Ñ ×ñÊØÀíÏëÆøÌå״̬·½³Ì

ʽÖÐRΪĦ¶ûÆøÌå³£Êý£¬MrΪ¿ÕÆø·Ö×ÓµÄÏà¶ÔÖÊÁ¿£¬RdΪ¸É¿ÕÆøÆøÌå³£Êý¡£

Ë®Æû·½³Ì

¾ö¶¨Êª¿ÕÆøÆø¿éÖеÄË®Æûº¬Á¿±ä»¯µÄ·½³Ì£º

ʽÖÐq Ϊ±Èʪ£¨ÔÚÒ»¶¨ÈÝ»ýµÄʪ¿ÕÆøÖУ¬Ë®ÆûÖÊÁ¿ºÍʪ¿ÕÆøÖÊÁ¿Ö®±È£©£¬S Ϊµ¥Î»ÖÊÁ¿Êª¿ÕÆøÔÚµ¥Î»Ê±¼äÄÚ´ÓÍâ½çµÃµ½µÄË®ÆûÁ¿¡£Í¨³£S =S1+S2£¬ ÆäÖÐS1¡¢S2·Ö±ðΪÏà±äºÍË®ÆûÀ©É¢£¨Ö÷ÒªÊÇÍÄÁ÷À©É¢£©Ôì³ÉµÄË®Æû±ä»¯¡£

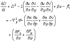
ÉÏÃæÎå¸ö·½³Ì¹¹³ÉÁËÃèд´óÆøÔ˶¯µÄ»ù±¾·½³Ì×飬ÕâÊÇÓÉV.ƤҮ¿ËÄá˹ÓÚ1904ÄêÊ×ÏȽ¨Á¢µÄ¡£ÆäÖÐÈÎÒ»ÎïÀíÁ¿A µÄ¸ö±ð±ä»¯dA/dt£¬¶¼¿ÉÒÔ±íʾΪ

ʽÖЧÕA/§ÕtΪ A µÄ¾ÖµØ±ä»¯Ïv¡¤‰¢A ΪƽÁ÷ÏËüÓÖ¿É·ÖΪˮƽƽÁ÷ºÍǦֱƽÁ÷Á½¸ö²¿·Ö¡£Æ½Á÷±ä»¯´ú±íÄ³Ò»Æø¿éµÄÎïÀíÁ¿A ÔÚÆ½Á÷Ô˶¯Öв»±äʱ£¬ËüÑØÆøÁ÷·½ÏòÒÆµ½Ä³µØ£¨»òij¸ß¶È£©Ö®ºó£¬Ê¹¸ÃµØÍ¬Ò»ÎïÀíÁ¿Ëù²úÉúµÄ±ä»¯¡£

³£Ó÷½³Ì

¸ù¾Ý¶¯Á¦·½³Ì×飬¿ÉÒÔµ¼³ö´óÆø¶¯Á¦Ñ§Öм¸¸ö³£Óõķ½³Ì¡£

Îжȷ½³Ì

Ëٶȳ¡µÄÐý¶È£¬ÔÚÆøÏóѧÖгÆÎªÎжȡ£

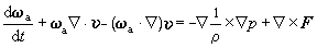
ÈýάÎжȷ½³Ì

½«Ô˶¯·½³Ì×÷Ðý¶ÈÔËËã(¼´‰¢¡Á)£¬¾ÍµÃµ½µØÇò´óÆøµÄÈýάÎжȷ½³Ì£º

ʽÖЦØa=¦Ør+2¦Ø£¬ÎªÆø¿éµÄ¾ø¶ÔÎжȡ£2¦ØÎªÇ£Á¬Îжȣ¬ÊÇÓÉÓÚ´óÆøºÍµØÇòÒ»ÆðÐýתÒýÆðµÄ£»¦Ør= ‰¢¡Áv=¦Îi +¦Çj+¦Æk £¬ÎªÆø¿éµÄÏà¶ÔÎжȣ¬ÆäÖÐi¡¢j¡¢k Ϊx¡¢y¡¢z·½ÏòµÄµ¥Î»Ê¸Á¿£¬¦Î¡¢¦Ç¡¢¦Æ·Ö±ðΪÏà¶ÔÎжÈÔÚx¡¢§å¡¢z·½ÏòÉϵķÖÁ¿£º

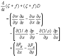
ǦֱÎжȷ½³Ì

Ñо¿´óÆøµÄ´ó³ß¶ÈÔ˶¯£¨Ë®Æ½³ß¶È¦É)µÄÁ¿¼¶Îª103¹«Àʱ£¬ÓÉÓÚËüÊÇ׼ˮƽµÄÔ˶¯£¬ÔÚÕâÖÖÇé¿öÏ£¬¿ÉÒԵõ½Ò»¸öǦֱÎжȷ½³Ì£¬ÆäÐÎʽΪ

ʽÖÐxÖ¸Ïò¶«£¬§å Ö¸Ïò±±£¬z ǦֱÏòÉÏ£»fΪ¿ÆÀï°ÂÀû²ÎÊý£¬¦Æ+f =¦ÆaÊǾø¶ÔÎжȵÄǦֱ·ÖÁ¿£»Fx¡¢Fy·Ö±ðΪճÐÔÁ¦ÔÚx¡¢§å·½ÏòµÄ·ÖÁ¿¡£Ç¦Ö±Îжȷ½³ÌÓҶ˵ÚÒ»ÏîΪÎйÜÏµÚ¶þÏîΪÁ¦¹ÜÏµÚÈýÏîΪĦ²ÁÏî¡£

¾ø¶ÔÎжÈÊØºã

¶ÔÓÚÕýѹ£¨¼ûÕýѹ´óÆø£©ÎÞĦ²ÁÔ˶¯£¬Ç¦Ö±Îжȷ½³Ì»¯Îª

ÓÖÎÞ·øÉ¢Ô˶¯£¬Ôò£º

Õâ˵Ã÷£¬ÔÚÎÞĦ²ÁµÄÌõ¼þÏ£¬Æø¿é×÷ÕýѹÎÞ·øÉ¢Ô˶¯Ê±£¬Ê¼ÖÕ±£³Ö¾ø¶ÔÎжÈÊØºã¡£ÉÏʽ¿ÉÒÔд³É£º

ʽÖУ¬ÎªÂÞ˹±È²ÎÊý¡£

ǦֱÎжȦÆÔÚÌìÆøÊµ¼ùÖÐÓ¦ÓÃÆÄ¶à£¬Í¨³£±±°ëÇòÆøÐýʽÁ÷³¡£¬¦Æ>0£»·´ÆøÐýʽÁ÷³¡£¬¦Æ<0£¨¼û´óÆø²¨¶¯£©¡£ÔÚµØ×ª·çµÄÌõ¼þÏ£¬ÈôÓÃÆøÑ¹p ×÷Ç¦Ö±×ø±ê£¬Ôò¦Æ¿ÉÒÔÓÃÖØÁ¦Î»ÊƧ¶À´±íʾ£¨¼û´óÆøÔ˶¯µÄƽºâ״̬£©£º

‰¢2pΪµÈÑ¹ÃæÉϵÄÀ­ÆÕÀ­Ë¹Ëã·û£¬¦Îg³ÆÎªµØ×ªÎжȡ£

Î»ÊÆÎжȷ½³Ì

½«Ô˶¯·½³Ì¡¢Á¬Ðø·½³Ì¡¢ÈÈÁ÷Á¿·½³Ì½áºÏÔÚÒ»Æð£¬µÃÎ»ÊÆÎжȷ½³Ì: ʽÖÐÎªÎ»ÊÆÎжȡ£

Î»ÊÆÎжÈÊØºã¶¨ÂÉ

¶ÔÓÚ¾øÈÈÎÞĦ²ÁµÄ´óÆøÔ˶¯£¬Q =0£¬F =0£¬ÔòÓУº

Ëü³ÆÎªÎ»ÊÆÎжÈÊØºã¶¨ÂÉ£¬ÊÇH.°£ÌضûÔÚ1942Äê·¢Ïֵġ£

¶ÔÓÚ´óÆø´ó³ß¶ÈˮƽÔ˶¯À´Ëµ£¬ÔÚÆøÑ¹×ø±êÖÐÓУº

Òò´ËÎ»ÊÆÎжÈÊØºã¶¨ÂɿɸÄдΪ

ÓÃÕ⹫ʽ±í´ïµÄÎ»ÊÆÎжÈÊØºã¶¨ÂÉ£¬ÊÇ C.-G.ÂÞ˹±ÈÔÚ1940Äê·¢Ïֵģ¬ËüÊÇ´óÆø´ó³ß¶ÈÔ˶¯ÔÚ¾øÈÈ¡¢ÎÞĦ²ÁºÍ×¼µØ×ªÌõ¼þϵÄ×ۺ϶¨ÂÉ¡£¸ù¾Ý´Ë¶¨ÂÉ£¬ÎÒÃÇ¿ÉÒԽϷ½±ãµØ½âÊͷǾøÈȼÓÈȵÄǦֱ²»¾ùÔÈÐÔ¶Ô´óÆøÎȶ¨¶ÈµÄÓ°Ï죬ÒÔ¼°Äϱ±Ïò´óµØÐÎÔÚÐγɳ¤²¨²ÛÖеÄ×÷Óá£

É¢¶È·½³Ì

¶ÔÓÚ´ó³ß¶ÈÔ˶¯£¬³£Óã¨Ë®Æ½£©É¢¶È·½³Ì¡£ËüÊÇÓÉˮƽÔ˶¯·½³Ì×÷ˮƽɢ¶ÈÔËËã¶øµÃ£¬ÆäÐÎʽΪ

ʽÖÐÊÇÆøÑ¹×ø±êϵÖеÄǦֱËÙ¶È¡£

¶ÔÓÚÎÞĦ²ÁµÄˮƽÔ˶¯£¬É¢¶È·½³Ì»¯Îª

ƽºâ·½³Ì

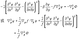
¶ÔÓÚÎÞĦ²Á¡¢ÎÞ·øÉ¢µÄˮƽ´ó³ß¶ÈÔ˶¯£¬ÔÚÆøÑ¹×ø±êÖУ¬É¢¶È·½³Ìת»¯ÎªÆ½ºâ·½³Ì£º

ʽÖÐËùÓжÔxºÍ§åµÄ΢ÉÌ£¬¶¼ÊÇÖ¸ÔÚÆøÑ¹×ø±êÖеÄ΢ÉÌ¡£ÒòΪËüÊÇÔÚˮƽÎÞ·øÉ¢µÄÌõ¼þϵõ½µÄ£¬¹Ê¿ÉÒÔÒýÈëÁ÷º¯Êý¦×:

Õâʱ£¬Æ½ºâ·½³ÌÓֿɱí´ïΪ

ƽºâ·½³Ì¸ø³öÁ˷糡ºÍÆøÑ¹³¡Ö®¼ä¸üÆÕ±éµÄ¹ØÏµ¡£µØ×ª·çµÄ¹ØÏµÖ»ÊÇÆ½ºâ·½³ÌÔÚÌØ¶¨Ìõ¼þϵÄÀý×Ó¡£¶ÔÓÚ·Ö²¼¾ùÔȵÄÔ²ÐÎÁ÷ÏßÀ´Ëµ£¬ÔÚfΪ³£ÊýµÄÇéÐÎÏ£¬Æ½ºâ·½³Ì¾Í±íʾÁËÌÝ¶È·ç¹ØÏµ¡£

²Î¿¼ÊéÄ¿
  1. J.PedloskyGeophysicalFluid Dynamics£¬Springer-Verlag£¬New York£¬1979.J.R.»ô¶û¶ÙÖø£¬ÖйúÈËÃñ½â·Å¾ü¿Õ¾üÆøÏóѧԺѵÁ·²¿Ò룺¡¶¶¯Á¦ÆøÏóѧÒýÂÛ¡·£¬¿ÆÑ§³ö°æÉ磬±±¾©£¬1980¡£
  2. J.R.Holton£¬AnIntroduction to Dynamic Meteoro-logy£¬2nd ed.£¬Academic Press£¬London£¬1979.