[拼音]:shuangquxing pianweifen fangcheng
[外文]:partial differential equation of hyperbolic type
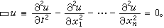
描述振动或波动现象的一类重要的偏微分方程。它的一个典型特例是波动方程
(1)
n=1时的波动方程
(2)
可用来描述弦的微小横振动,称为弦振动方程。这是最早得到系统研究的一个偏微分方程。它的解具有十分简单的结构,即总可表为一个右传播波和一个左传播波的叠加u=F(x-t)+G(x+t)。因此,给定弦的初始位移和速度
(3)
就可得到柯西问题(2)、(3)的解的表达式
称为达朗贝尔公式。利用分离变量法,将弦的振动分解为基音和泛音的叠加,还可以求解诸如两端固定弦的振动等问题。波动方程可用来描述膜的横振动(n=2)以及弹性体的振动和声波、电磁波等的传播(n=3),在应用上十分重要。在波动方程的研究中,特征锥面 
(n=1时为特征线:x±t=常数)在求解及刻画解的性质等方面都起着重要的作用。利用二维与三维波动方程柯西问题的解的表达式(泊松公式),可以看到二维与三维的波动在性质上有很大的不同。三维波动的传播无后效,这对现实世界中信号的传送与接收有重要的意义,而二维波动却具有后效现象。
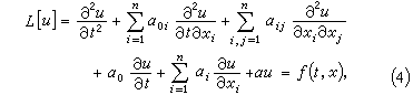
对一般的二阶线性偏微分方程
式中系数及右端项ƒ均设为
的适当光滑的函数,如果对任一(t,x),由方程(4)的主部所决定的特征方程
(5)
对任何
,
都有两个相异的实根(称为特征根)λ=λ1(t,x,ξ)及λ=λ2(t,x,ξ),则称方程(4)对t方向为双曲型方程,简称双曲型方程。如果这两个相异实根能被一致地分隔开来,即成立
则称(4)为正规双曲型方程。波动方程(1)就是一个正规双曲型方程。
在求解双曲型方程或研究其解的性质时,特征超曲面及次特征线起着重要的作用。一个超曲面S:φ(t,x)=0,如果在其上成立
,就称它是方程(4)的一个特征超曲面。对于双曲型方程,任一特征超曲面均由次特征线组成,而次特征线t=t(τ),x=x(τ)由下述常微分方程组
满足附加条件(5)的解所给出。由过一点p(t0,x0)的一切次特征线所构成的特征超曲面,称为以p为顶点的特征劈锥面,连同其内部称为特征劈锥体,它们由位于t≥t0及t≤t0的前向及后向两部分组成。过p点指向此劈锥面内部的任一方向,称为此点的类时方向;一个处处和类时方向相切的曲线称为类时曲线。以 P为顶点的特征劈锥面内部的任一点,都可用类时曲线与p点相连。在p点将劈锥的前后两部分隔开来的任一超曲面元素,称为类空元素;处处和类空元素相切的超曲面称为类空超曲面。对方程(4),超平面t为常数就是一个类空超曲面。对波动方程(1),次特征线都是直线
式中
,而以p(t0,x0)为顶点的特征劈锥面就是特征锥面
,此时t轴恰为一个类时曲线。在方程(4)的主部的系数有界时,以任何点为顶点的特征劈锥面,都可包含在以此点为顶点的一个固定大小的圆锥中。解的弱间断面一定是特征超曲面,因此,在波的传播中,特征超曲面可用来表示波前,即作为已受扰动与未受扰动的区域的分界面,而任何扰动都沿着次特征线传播。这里,扰动沿次特征线传播的性质,充分体现了一般情形下线性偏微分方程的解的奇性传播的特点。在光学中,次特征线就是光线,沿着它们积分一些常微分方程,在高频振动的情况下,可得到精确解的渐近展开式。这一方法称为几何光学近似。它将波动光学和几何光学联系起来,并为傅里叶积分算子提供了一个雏型。
对双曲型方程(4),常见的定解问题是柯西问题或称初值问题:求方程(4)在t>0时的解u=u(t,x),使它满足如下的初始条件
t=0: u= u0(x),
(6)
式中u0(x)及u1(x)为给定的适当光滑的函数。一般地说,柯西问题的初始资料可以给在任一类空超曲面上。对于正规双曲型方程,其柯西问题是在阿达马意义下适定的,即其解存在、惟一并以某种方式连续地依赖于初始资料。不仅如此,柯西问题(4)、(6)的解u在一点p(t0,x0)(t0>0)之值,只依赖于以p点为顶点的后向特征劈锥体与初始超平面t=0交截所得的区域Gp上的初始资料,而和Gp外的初始资料无关。Gp称为点p 的依赖区域。依赖区域的有界性反映了波动以有限速度传播的事实,是双曲型方程所具有的一个本质的特点。相应地,初始资料在t=0上一点p0的一个邻域中的扰动, 仅影响到解在以p0为顶点的前向特征劈锥体的一个邻域中的数值。这个前向特征劈锥体称为p0点的影响区域。在特殊的情形下(例如对n>1为奇数时的波动方程(1)),解u在p(t0,x0)点的值仅依赖于初始资料在Gp的边界的一个任意小的邻域中的值,而p0 点的影响区域仅是过 p0点的前向特征劈锥面。此时,波的传播有清晰的阵面,不会出现波的弥散,称为成立惠更斯原理。对n为偶数的波动方程(1),惠更斯原理不成立。然而,不论在哪一种情形,由于解的奇性(不连续性)沿着次特征线传播,在t=0上一点p0处初始资料的奇性仅通过以p0为顶点的前向特征劈锥面传播出去,或者说,解在p(t0,x0)点的光滑性仅依赖于初始资料在Gp边界的一个任意小的邻域中的光滑性。这个事实,称为广义的惠更斯原理。
双曲型方程柯西问题的现代理论,是由J.(-S.)阿达马对二阶双曲型方程柯西问题的先驱工作开始的。他通过构造在特征劈锥面上具有奇性的解(基本解)来求解柯西问题,并采用求发散积分的有限部分的方法来克服所遇到的奇性困难。他的工作经过M.里斯及С.Л.索伯列夫等人的发展,对广义函数论的建立是一个重要的推动,而阿达马的方法在广义函数论的框架中也得到了更清晰和完善的表达。
证明柯西问题适定性的一个比较简便的方法是能量积分法。所谓能量积分,就是在x空间中由解及其若干阶偏导数所组成的正定的积分。在一些常见的波动现象中,利用波在传播中的能量守恒律,可以知道某些能量积分是不随时间t变化的常数。对一般的二阶双曲型方程(4),也能在一个包含特征劈锥面的适当大的圆锥中建立有关能量积分的一些估计式,称为能量不等式。由此不仅可以证明柯西问题解的惟一性及对初始资料的连续依赖性,还可以证明解的存在性及正规性。为此,自然地采用了泛函分析的框架,并要利用索伯列夫空间的理论。
在一些特殊的情况下,还可以用将解展开为平面波或球面波的方法求得解的表达式。例如对波动方程 (1)带初始条件t=0: u=0,
的柯西问题,其解可表为
式中
而
为n维空间中单位球的表面积。由此再通过引入适当的未知函数变换并利用杜阿美方法,对非齐次波动方程带初始条件 (6)的柯西问题也可以得到相应的解的表达式。
除柯西问题外,另一类重要的定解问题是混合初-边值问题,简称混合问题,即要求方程(4)的一个解 u(t,x),使它在x空间的一个区域的边界上满足给定的边界条件,并在此区域上满足t=0时的初始条件。在研究波的反射、干扰或有界弹性体的振动等问题时,就会自然地提出这类问题。二阶双曲型方程(4)带常见边界条件的混合问题也是在阿达马意义下适定的。在n=1的情形,对二阶双曲型方程的柯西问题及混合问题都可以利用黎曼函数方法求解。
对于高阶的方程或方程组,其双曲型的定义同样是和柯西问题的适定性密切联系在一起的,甚至可以用保证柯西问题为适定的要求来作为双曲型的定义。在常系数的情形,已为L.戈尔丁所详细分析,并给出了此时方程中的系数所应满足的代数条件,但由于该定义涉及到方程中非主部的系数,难以推广到变系数的情形。在一般的情况下,有意义的是给出方程中的系数所满足的一些代数条件,使能保证柯西问题的适定性,并适用于相当广泛的场合。下面是最常见和重要的两种情形。
和上述二阶双曲型方程的定义相应,对高阶方程
(式中


而
及ƒ适当光滑),若对任一(t,x),由方程主部所决定的特征方程
(式中
),对任何
都有N个互异的实特征根
则称方程(7)为双曲型方程。如果这N个互异的实根能被一致地分隔开来,即成立
则称⑺为正规双曲型方程。在偏微分方程组的情形,也可给出类似的定义。И.Γ.彼得罗夫斯基首先引入了双曲型的上述定义,并对正规双曲型方程证明了柯西问题的适定性,对解的性质也有和二阶情形相类似的结果。在И.Γ.彼得罗夫斯基的原有证明中有一些缺陷,已为J.勒雷等人所修正。对正规双曲型方程在柱形区域[0,T]×
(其中
为x空间中的一个区域)上的混合问题,也已得到相当一般性的结果。在上述定义中,实特征根λj(i=1,2,…,N)互异的假设在应用上往往是过于苛刻的要求。在特征方程⑻具有重实特征根的情况,单靠方程的主部一般已不足以保证柯西问题的适定性,而必须考察方程中低阶项的影响,情况变得很复杂,是一个正在深入研究的课题。
对一阶方程组
, (9)
可提出双曲型的另一定义:若N×N矩阵Aj(i=1,2,…,N)为对称,A0为对称正定, 则就称(9)为一阶对称双曲型方程组。它概括了很多重要的数学物理方程(例如,麦克斯韦方程组等),在应用中具有特别重要的意义。二阶双曲型方程(4) 也可通过引入新的未知函数化为这种形式的方程组。能量积分法是处理这种方程组的最自然的工具,利用它同样可以证明柯西问题的适定性以及解具有有限依赖区域的特点。K.O.弗里德里希斯首先引入并研究了这一类方程组,讨论了它的一大类可解的混合问题,并由此发展到对所谓正对称型方程组建立了系统的理论。
对于拟线性及非线性的方程和方程组,其特征和双曲型的定义一般要依赖所考察的解,对其柯西问题和混合问题一般只能在t的局部范围中得到解,而在有限时间内其解可能产生奇性。这一现象称为解的破裂,在流体力学中对应着新激波的产生等自然现象。然而,在一些特殊而有意义的情形,仍可在大范围中得到经典解。此外,对非线性波动的周期性及共振等问题,也是重要的研究对象。
在空间维数n=1的情形,特征超曲面化为特征线,而与次特征线重合。此时,可以通过沿特征线积分的方法来求解双曲型方程,对它的柯西问题及各种形式的混合问题等,甚至在方程或方程组为拟线性或非线性的情况,都已得到了相当完善的解决。