高分子化学

研究高分子化合物(简称高分子)的合成、化学反应、物理化学、物理、加工成型、应用等方面的一门新兴的综合性学科。合成高分子的历史不过五十年。高分子化学真正成为一门科学,还不足四十年,发展非常迅速。目前,它的内容已超出化学范围,因此,现在常用高分子科学这一名词(或简称为高分子学)来更合逻辑地称呼这门学科。狭义的高分子化学,则是指高分子合成和高分子化学反应。

简史

人类实际上从一开始即与高分子有密切关系,自然界动植物包括人体本身,就是以高分子为主要成分而构成的。这些高分子早已被用作原料来制造生产工具和生活资料。人类的主要食物如淀粉、蛋白质等,也都是高分子。只是到了工业上大量合成高分子并得到重要应用以后,这些人工合成的化合物,才取得高分子化合物这个名称。后来,经过研究知道,人工合成的高分子和那些天然存在的高分子,在结构、性能等方面都具有共同性,因此,就都叫做高分子化合物。工业上或实验室中合成出来的称为合成高分子,一般所说的高分子,大都指合成高分子;天然存在的高分子简称天然高分子

顾名思义,高分子的分子内含有非常多的原子,以化学键相连接,因而分子量都很大。但这还不是充足的条件,高分子的分子结构,还必须是以接合式样相同的原子集团作为基本链节(或称为重复单元)。许多基本链节重复地以化学键连接成为线型结构的巨大分子,称为线型高分子。有时线型结构还可通过分枝、交联、镶嵌、环化,形成多种类型的高分子。其中以若干线型高分子,用若干链段连接在一起,成为巨大的交联分子的,称为体型高分子。

从高分子的合成方法可以知道,合成高分子的化学反应,可以随机地开始和停止。因此,合成高分子是长短、大小不同的高分子的混合物。与分子形状、大小完全一样的一般小分子化合物不同,高分子的分子量只是平均值,称为平均分子量。

我们可用R′—Mn—R″代表一般高分子的线型结构。式中 R′和R″代表不同的基团。当M为—CH2CH2—时就代表聚乙烯,M为—NH(CH2)6NHCO(CH2)4CO—时就代表耐纶66。这里的n称为聚合度,就是基本链节M重复连接的数目。n可以从很小到很大,例如从20到20000。

决定高分子性能的,不仅是平均分子量,还有分子量分布,即各种分子量的分子的分布情况。从其分布中可以看出,在这些长长短短的高分子的混合物中,是较长的多还是较短的多,或者中等长短的多。

高分子具有重复链节结构这一概念,是H.施陶丁格在20世纪20年代初提出的,但没有得到当时化学界一些人的赞同。直到30年代初,通过了多次实践,这一概念才被广泛承认。正确概念一经成立,就使高分子有飞跃的发展。当时链式反应理论已经成熟,有机自由基化学也取得很大的成就。三者的结合,使高分子合成有了比较方便可行的方法。实践证明,许多烯类化合物,经过有机自由基的引发,就能进行链式反应,迅速地形成高分子。由30年代初期到40年代初期,许多现在的通用高分子品种,都已按此方法投入工业生产。在30年代末期,W.H.卡罗瑟斯又发现用缩聚方法合成高分子。后来,为了合理的加工和有效的应用,高分子结构和性能的研究工作逐渐开展,使高分子成为广泛应用的材料。同时,一门新兴的综合性学科──高分子科学──从40年代下半期开始,蓬勃地发展起来。

高分子科学可以分为高分子化学(狭义的)、高分子物理和高分子工艺学三部分。高分子化学又分为高分子合成、高分子化学反应和高分子物理化学。高分子物理研究高聚物的聚集态结构和本体性能。高分子工艺学又分为高聚物加工成型和高聚物应用。

高分子合成

加成聚合

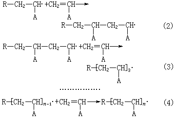
以烯类化合物为单体,用自由基引发后,进行链式反应而形成高分子(见烯类加成聚合、聚合反应)。烯类化合物具有双键。在一定条件下(如加热)能产生自由基的化学试剂,称为引发剂。引发剂与烯类单体一起加热到一定温度后,从微量引发剂产生的自由基(用R·代表),与烯类单体(用CH2=CH公式 符号代表它的分子)发生加成反应:

公式 符号

所得到的加成物仍为自由基,又同第二个单体分子加成。所得到的加成物,仍然是自由基。依此类推,像一环套一环的链子一样,因而称做链式反应,又称连锁反应。

公式 符号

当形成n聚体自由基(n代表相当大的任意数字)后,偶然碰到某种情况,例如与另一自由基相遇,就发生下列反应:

公式 符号  (5)

两个自由基形成一个化学键,反应就停止进行,生成一个稳定的高分子化合物。同时,n聚体自由基也可将“自由基”转移到另一分子上去,例如:

公式 符号  (6)

此R″可继续与单体反应,生成自由基,直至生成稳定的高分子化合物。这就是加成聚合的全过程,其中反应(1)称做链引发;反应(2)~(4)称做链增长;反应(5)称做链终止,链终止的高分子链,长短可以不等;反应(6)称做链转移。

缩合聚合

此反应与加成聚合完全不同。缩合聚合的单体,不是具有可以相互加成的双键的烯类,而是具有可以相互缩合的两种官能团的单体。这种官能团可以位于同一个单体上,也可以分别位于两个单体上。例如:

a—M—b+a—M—b─→a—M—M—b+a—b (7)

a—M—a+b—M—b─→a—M—M—b+a—b (7′)

这种放出a─b小分子,如H─OH、H─NH2等而形成大分子的反应称为缩合反应。只要有a和b存在,反应就会一步一步地进行下去,直到遇到某一特殊情况,反应才停止下来,生成了长短不同的高分子的混合物,停止也是随机的:

a—M2—b+a—M2—b─→a—M4—b+a—b (8)

a—M4—b+a—M4—b─→a—M8—b+a—b (9)

a—M4—b+a—M2—b─→a—M6—b+a—b (10)

a—Mn—b+a—Mm—b─→a—Mn+m—b+a—b (11)

缩合聚合属于逐步聚合反应。

同加成聚合不同,缩合聚合一般是可逆反应,要把小分子a─b除去,分子量才可以提得高。

高分子化学反应

高分子虽然分子量很高,但是它们所具有的官能团,仍然与一般小分子有机化合物有一样的反应性能。但其反应性能受两种特有因素的影响:

(1)高分子是长链结构,这个长链是曲曲折折的蜷曲形。有规则的蜷曲(折叠)形成晶态;无规则的蜷曲形成非晶态。

(2)高分子的分子与分子堆砌在一起。有规则的堆砌形成规整的晶态排列;无规则的堆砌形成非晶态。规整结构中分子排列紧密,试剂不易侵入,官能团不易起反应;不规整结构中分子排列疏松,试剂容易侵入,官能团容易起反应。

天然高分子的化学转化,早在19世纪就为人们所研究和利用。1845年C.F.舍恩拜因就发现纤维素可以硝化,成为硝酸纤维素。1865年P.许岑贝格尔把纤维素乙酰化成为醋酸纤维素。粘胶人造丝的生产也是通过纤维素的化学变化来实现的。

高分子的化学反应,有些是破坏性的,例如高分子光降解、高分子热降解、高分子氧化等。它们使高分子材料老化,性能变坏,以致最后不能使用。但不少反应是有用的,甚至是重要的高分子合成方法,例如橡胶硫化成为具有弹性的橡皮;纤维素黄化,制成粘胶纤维;聚乙酸乙烯酯先水解成聚乙烯醇,再与甲醛缩合,纺成的纤维即维纶;高分子先转化成自由基,再与另一单体形成接枝共聚物;两种高分子链段用化学方法连接起来,成为嵌段共聚物。此外,还可以把某些元素或基团先接到高分子上去,再进行化学反应,反应后还可解脱,以完成某些分离、分解和合成工作,例如离子交换树脂、固定化酶、多肽、某些激素甚至蛋白质的合成等等。

高分子的结构

高分子链结构包括链节的化学结构、链节与链节连接的化学异构和立体化学异构、共聚物的链节序列、分子量及分子量分布,以及分子链的分支和交联结构。

在适当情况下,这些结构相同的链节,正如许多相同的小分子可以整齐地排列起来成为晶体一样,也可以局部折叠起来成为片状结晶态,称为片晶。片晶又可以堆砌成球状,称为球晶。在高分子的分子与分子之间,相同的链节也可排列成为片晶,片晶再堆砌成为球晶或其他晶态;那些未折叠起来的一部分分子是非晶态的。非晶态部分也有一定的结构。小分子化合物,要么是结晶的,要么是非晶态的;而高分子化合物,则可以一部分是晶态结构,另一部分是非晶态结构。

高分子链结构是一级结构;孤立高分子链,即稀溶液中高分子的形态,如无规线团、螺旋、双螺旋、刚性棒或椭球等是二级结构;三级结构指高聚物分子聚集态结构,即分子链与分子链之间的堆砌。聚集态结构随着加工成型方法的不同而有所不同。具有聚集态结构的高分子,称为高聚物(见高分子结构)。

高分子溶液

多数线型高分子,可以在相应的溶剂中溶解,形成溶液。高分子溶液是真溶液,而不是以前所认为的胶体溶液。高分子是长链结构,在流动时能相互阻滞,因此高分子溶液是粘稠的。一般情况下,分子链愈长,粘度愈大。当光束通过高分子溶液时,由于高分子比较大,可以发生光的散射。分子愈大,散射愈强。高分子远比溶剂分子重。在超高速离心下,高分子的移动比溶剂分子快,扩散比溶剂分子慢。分子量愈大,这些区别愈明显。利用这些高分子溶液性能,可以测定高分子的分子量。研究高分子溶液,除了能测定分子量及其分布以外,还可从溶液的各种性质推测高分子的形态、结构等。

高分子性能

高分子与小分子不同,具有强度、模量,以及粘弹、疲劳、松弛等力学性能,还具有透光、保温、隔音、电阻等光学、热学、声学、电学等物理性能。由于具有这些性能,高聚物可作为多种材料应用。高聚物的结构与加工成型的方法有关。因此,要取得高聚物的优良性能,必须采用适当的加工成型方式,使它形成适当的结构。例如,成纤的高聚物,在纺丝以后必须在特定温度下进行牵伸取向,才能达到较高强度。

高聚物加工成型

高聚物作为材料使用,主要可分塑料、纤维和橡胶等,都需要加工成一定的形状方可使用。此外,用做分离、分析材料的离子交换树脂,在聚合过程中就可制成可使用的球形颗粒;用做油漆涂料的高聚物,只须溶在适当溶剂中,就可使用,无须加工成型。

塑料加工成型

选择塑料加工成型的方法时,首先要看树脂(就是聚合反应得到的高分子化合物,一般呈树脂状或粉状)在加热时的变化。树脂可分为热固性树脂和热塑性树脂两类。热固性树脂能在加热时进一步缩聚或加聚成为交联结构的不溶、不熔高聚物。对这类树脂的加工,一般采用模压法。将树脂和填料、添加剂等混合均匀,放在模子里加温加压,使它固化成为制品。也可以用树脂的溶液浸渍木片、纸、玻璃布等,溶剂蒸发后,覆叠成形,加压加热,成为层压塑料或增强塑料。如用玻璃纤维或碳纤维浸渍缠绕成形再固化,可得高强度、高模量,胜过钢铁的材料。热塑性树脂在加热时软化或熔化,可以注塑或挤出成各种形状的制品;吹塑成薄膜或在模中吹塑成中空容器(如瓶子等);也可以将树脂熔融后在模子里用离心法制成器件。另外有一类泡沫塑料,是把发泡剂(能发生气体的添加剂)与树脂混合后加热,利用发泡剂发生的气泡作用而制成的多孔制品。

化学纤维的加工成型

成纤的高聚物可以纺丝,纺丝方法有湿纺、干纺、熔纺三种。湿纺是把原料溶于良溶剂中,从喷丝孔喷到不良溶剂中,高分子就连续沉淀成为纤维。干纺是把原料溶液从喷丝孔喷出,通过热空气将溶剂蒸发掉而成为纤维。熔纺是把原料加热到熔点以上的温度,从喷丝孔喷出,再冷却成纤维。纺丝后把丝卷绕在锭子上。卷绕和喷丝速度影响丝的性能。最后,要在适当温度下把丝牵伸到若干倍长度,使高分子晶轴和分子链能延伸到与牵伸方向一致。这样,强度与模量就比较高。

橡胶的加工成型

橡胶(即弹性体)的加工,主要是硫化。硫化能把机械性能差的塑性橡胶转变成强韧而有弹性的橡皮。橡胶先在一定温度下在滚筒间滚辗,使其分子量降低,得到一定的塑性(这一步骤称为塑炼);再与硫黄粉、硫化促进剂、活化剂、炭黑、硬脂酸和防老剂等共混,并在滚筒中滚辗(这一步骤称为混炼);混炼后,放入模中加压加热,即成固定形状的橡胶制品。

高分子的生产

自20世纪30年代建立多种高分子工厂以来,年产量的增长速度极快。例如,美国在1929年生产高分子 2万多吨,1980年生产2000多万吨,50年增长约千倍。世界年产量的增长速度也大致如此。很少工业品具有这种惊人的增长速度。1980年一些国家的高分子产量和塑料消耗量见表1、2。

图 图

从表 2可看出,塑料消耗量每五年约增加一倍,年增长率达10%~15%。1979年美国合成高分子的总产量,按体积计大大超过所有各种金属的总产量。目前,全世界合成高分子的年产量已超过 1亿吨。据R.豪温克估计,到2000年,全世界金属材料:天然材料:合成材料的消耗量比例将是19:3:78。

高聚物应用

高分子生产的迅速发展,说明了社会对它的需要量的迅速增加。高分子材料首先用作绝缘材料,用量至今还很大,特别是新型高绝缘材料。例如涤纶薄膜远比云母片优越;硅漆等用作电线绝缘漆,与纱包绝缘线不可相提并论。由于种种新型、优异的高分子介电材料的出现,电子工业以及计算机、遥感等新技术才能建立和发展起来。高分子作为结构材料,在代替木材、金属、陶瓷、玻璃等方面的应用日新月异。在农业、工业和日常用途上,它的优点很多,如质轻、不腐、不蚀、色彩绚丽等,用于机械零件,车船材料,工业管道容器,农用薄膜,包装用瓶、盒、纸,建筑用板材、管材、棒材等等,不但价廉物美,而且拼装方便。还可用于医疗器械,家用器具,文化、体育、娱乐用品,儿童玩具等,大大丰富和美化了人们的生活。

合成纤维的优越性,如轻柔、不绉、强韧、挺括、不霉等,也为天然纤维棉、毛、丝、麻等所不及。尤其重要的是它们不与粮食争地,一个工厂生产的合成纤维,可以相当上百万亩农田所能生产的天然纤维。天然橡胶的生产,受地区的限制,产量也不能适应日益增长的要求。但合成橡胶不受这种限制,而且其各个品种各有比天然橡胶优良之处。

一般认为高分子材料强度不高、耐热不好,这是从常见的塑料得到的印象。现在最强韧的材料,不是钢,不是钛,不是铍,而是一种用碳纤维和环氧树脂复合而成的增强塑料。耐热高分子,已经可以长期在300°C使用。特别应当提起的是,在航天技术中,火箭或人造卫星壳体从外部空间回到大气层时,速度高,表面温度可达5000~ 10000°C。没有一种天然材料或金属材料能经受这种高温,但增强塑料可以胜任,因为它遇热燃烧分解,放出大量挥发气体,吸收大量热能,使温度不致过高。同时,塑料不传热,仍可保持壳体内部的人员和仪器正常工作和生活所需要的温度。好的烧蚀材料,外层只损坏了3~4厘米,即可保全内部,完成回地任务。

现在塑料主要用于包装材料和建筑材料。在美国,这两种用途各占塑料总产量的四分之一左右。表3中列出美国1981年的塑料用量和2000年的估计需要量。表中2000年的需要量有两种估计,前者是1972年的估计,比较乐观;后者是1975年的估计,比较保守;实际情况可能在二者之间(见高聚物应用)。

图

研究方向

高分子材料有以下弱点,必须开展研究加以克服:

(1)易燃烧。大量使用高分子材料时,防火是一个大问题,必须使高分子不易燃烧,才能安全使用。

(2)易老化,不经久。用作建筑材料,要求至少有几十年的寿命;用于其他方面,也须有耐久性。

(3)污染环境。大量使用高分子材料时,作为废物扔掉的高分子垃圾,不被水溶解和风化,不受细菌腐蚀,如不处理就会越积越多,成为严重公害。必须设法使高分子材料在使用后能适时分解消失。

参考书目
  1. 王葆仁:发展中的高分子,《高分子通讯》,第1期,1979。
  2. F.W.毕尔梅耶著,中国科学院化学研究所七室译:《聚合物科学教程》,科学出版社,北京,1980。(F. W. Billmeyer, Jr., Textbook of Polymer Science,Interscience, New York, 1971.)
  3. 冯新德著:《高分子合成化学》上册,科学出版社,北京,1981。
  4. 林尚安等著:《高分子化学》,科学出版社,北京,1982。