[拼音]:guil╇ shulun
[外文]:probabilistic number theory
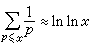
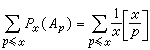
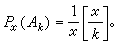
研究数论函数的分布问题。概率数论开始于1917年G.H.哈代与S.A.拉马努金关于数论函数ω(n)的研究。此处ω(n)表示n的不同素因子的个数,例如ω(1)=0,ω(2)=1,ω(20)=2,ω(30)=3。对于任意的k,当n为k个不同素数之积时,有ω(n)=k。特别,当n=p为素数时,有ω(p)=1。所以ω(n)(n=1,2,…)的分布很不规则,它可以取任意大的整数值,而又无穷多次取值1及2,3等。因此,研究ω(n)的值分布就从研究ω(n)在区间[1,x]中的期望值入手,其中x是大于或等于2的整数。命Ak表示区间[1,x]中为k所整除的整数组成的集合,Px(Ak)表示Ak的概率。例如当x=100时,
一般说来
假定p、q为互异的素数,则
,所以当x充分大时,有
这说明当n在区间[1,x]中随机选取时,事件Ap与Aq是渐近独立的,所以ω(n)在[1,x]中的期望值为
,
它渐近地等于
(见素数分布)。
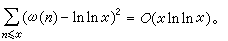
命ψ(y)为任何当y趋于无穷时亦趋于无穷的函数,则
。
这就说明在 ω(n)(1≤n≤x)中,只有极少数是偏离ln lnx 的。
1934年,P.图兰进而证明了
1939年P.爱尔特希与M.卡茨发展了P.图兰的方法,证明了中心极限定理: 命ƒ(n)为适合│ƒ(p)│≤1 的强加性函数。所谓强加性函数,即当(m ,n)=1时,ƒ(m ,n)=ƒ(m)+ƒ(n),且
又命
。假定B(x)→∞(当x→∞时),则
,
并称之为爱尔特希-卡茨定理。
当取ƒ(n)=ω(n),则得
在概率数论方面作过重要贡献的还有J.库比利乌斯、M.B.巴班、A.温特纳和P.D.T.A.埃利奥特等人。
- 参考书目
- P.D.T.A.Elliott,Probabilistic Number Theory,Ⅰ,Ⅱ,ASer.Comp.Stu.Math.,Spr.Ver.,No.239,240,1980.