[拼音]:Laosi fangcheng
[外文]:Routh equation
一个动力学方程。是E.J.劳思于1876年提出的。他利用广义动量积分(见拉格朗日方程)把拉格朗日方程降阶,得到了仍旧保持拉格朗日方程形式的动力学方程。
一个有N个自由度的保守系统,它有N个广义坐标qi(i=1,2,…,N)。但在这个系统的拉格朗日函数(见拉格朗日方程)L中, 并不包含某些坐标,设为q1,q2,…,qk(k<N),这些坐标称为循环坐标。对应于循环坐标有广义动量积分
引入劳思函数
就可导出劳思方程
上式的形式同保守系统的拉格朗日方程一样,但是式中只有2(N-k)个阶,已降低2k阶,达到了降阶的目的。缺少的循环坐标可用下列积分求出
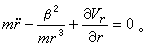
例如,用平面极坐标 (r,Θ)求解平面中质点的辏力的运动问题时,力心选作原点,
式中L不含Θ,所以Θ是循环坐标。循环积分为
(1)
劳思函数为
代入劳思方程
,得
(2)
从上式解出r(t)后,应用(1)式可得
这样可求出r和Θ为时间函数,这一力学问题得到解决。