[拼音]:xuweiyi
[外文]:virtual displacement
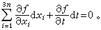
约束随时间t改变的力学系统的位置变量xi在t0(t0一经指定便为常量)时的虚位移δxi定义为适合t=t0的约束方程的无限小想象位移。在约束许可情况下所能产生的位移称为“可能位移”,用dxi表示。对于定常系统,虚位移和可能位移两者相同,但对非定常系统,两者则不同。例如,对于含有时间参量的几何约束
f(x1,x2,…,x3n,t)=0,
对虚位移有: 
对可能位移有: 
除非
,即f中不含t;否则上两式不同。
对于线性运动约束
可能位移计算式为:
虚位移计算式为:
。