角规测树

用角规观测抽取样木的测树方法。又称无样地抽样,可变样地抽样。其特点是每株林木被抽中的概率与其某个测树因子(直径、树高、断面积)的大小成正比,不需量测样地边界、面积和样木大小就能估计林分单位面积上的断面积。

1947年奥地利的W.毕特利希提出在样点上用角规测定林分断面积的方法,打破了 100多年来在一定面积样地上量测林木的传统,开辟了森林资源调查中使用可变面积样地和不等概率抽样的方便途径。20世纪50年代以来,由于陆续出现新的角规观测法,以及美国L.R.格罗森堡在理论上阐明了使用角规抽取样木的原理,进一步丰富了角规测树的内容和理论,使角规测树成为测树学的重要组成部分。中国于1956年引入角规测树方法,已在森林资源调查中广泛使用。

角规

任何一种能够产生固定大小视角的器具均可用作角规,产生水平视角的称水平角规,产生垂直视角的称垂直角规。角规的形式,最初使用的是杆式,以后逐渐发展为各种形式的角规和角规测树仪。

杆式角规

定长直尺的前端安上带有定宽缺口的薄片,即构成杆式角规(图 1)。由尺端通过缺口向前观望,由于缺口宽度的限制,构成了一个固定视角。视角α的大小由直尺长l和缺口宽度ω确定:

公式 符号

角规构造的基本要求是使视角α等于某个规定角度,这可以通过调整ω/l来达到。

图 棱镜角规

它是一个顶角φ很小的三棱镜片。视线通过棱镜产生偏折,形成偏向角α 。偏向角即角规视角。制造棱镜角规时,根据所要求的视角,按公式φα/(η-1)计算顶角φ的大小。式中η为棱镜材料的折射率

林分速测镜

杆式角规和棱镜角规虽然容易制作,但功能单一,不便在坡地上使用。1952年按毕特利希设计制造的速测镜是具有代表性的角规测树仪。 它有4种不同大小视角的角规功能,可自动调整坡度,并可作测高、测距、测径和测斜仪使用。60年代毕特利希把构成视角的带条改宽,后又在速测镜上增加了光学望远系统,制成了望远速测镜。中国于1963年制成林分速测镜,1982年还研制了林分望远速测镜,即DQW-2型望远测树镜(见测树工具)。

测树方法

角规测树的基本方法有4种:毕特利希的水平点抽样,日本平田种男的垂直点抽样,挪威L.斯特兰的水平线抽样及垂直线抽样。

水平点抽样

主要用于测定林分单位面积上的胸高断面积。在林地内随机设置一个样点,观测者以样点为中心,用水平角规依次绕测周围林木的胸高部位一周。当林木胸高断面与水平视角相割时,即为抽中的样木,并予以计数(图2)。在一个样点上若计数样木株数为n,则林分单位面积上的胸高断面积估计值(弿)为:

弿=Fgn

Fg是水平角规常数,它与视角大小有关。为了计算方便,在制造角规时调整视角大小,使Fg成为整数。例如杆式角规的ω/l=1/50小时,即角规缺口宽 1厘米,直尺长50厘米,则水平角规常数Fg=1。

图

在角规观测过程中,由于林地条件、工具和视力等限制,会遇到难以决定是否应选作样木的情况。这时需实测林木中心到样点的距离S 和胸径d,按条件:

公式 符号

决定样木。对于恰有

公式 符号

的林木,常被称作临界木,以二分之一株样木计算。

垂直点抽样

主要用于测定林分平均高。在平坦林地内的样点上,观测者持垂直角规观测样点周围林木眼高以上的树干段。一般用直角三角形垂边对应角作为视角,绕测时要保持角规视角下部边缘即底边与地面平行,通过视角上部边缘即斜边观测树干。当树稍高出视线时,该木被抽中为样木。若样点上样木计数结果为n,并已知每公顷林木株数为N,则林分平均高()的估计值公式 符号为:

公式 符号

Fh为垂直角规常数,当角规视角α=60°34′08″时,Fh=1;he为观测者的眼高。

水平线抽样

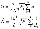
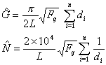
可分为单侧和双侧两种。用此法估计林分断面积时,观测计数样木必须与样木检尺结合进行,并可同时估计株数。在林地内随机设置长度为 L的线段作为样线,观测者持水平角规沿样线逐株顺序观测线段两侧或一侧林木的胸高部位。观测点在样线上的位置,必须使观测林木时的方向与样线保持垂直(图3)。决定是否计数样木的方法虽与点抽样相同,但凡样木均实测其胸径。当计数样木为n株,第i株样木的胸径为di时,单侧水平线抽样按下式估算林分每公顷断面积(弿)和株数()。

公式 符号

双侧水平线抽样时

公式 符号 图 垂直线抽样

用垂直角规沿样线逐一观测线段两侧或一侧林木眼高以上的树干段,观测时的注意事项同水平线抽样和垂直点抽样,但无须对样木检尺。单侧垂直线抽样时林分平均高的估计值为:

公式 符号

双侧垂直线抽样时林分平均高的估计值为:

公式 符号

上列两式估计的是林分算术平均高。垂直点抽样估计的是林分几何平均高。

角规林分调查

根据实际情况,灵活配合运用上述4种角规抽样方法,可简化下列林分调查的工序,减少实测工作量,提高调查精度。

断面积、株数、平均直径和平均高

(1)用水平点抽样可直接估计单位面积林地的断面积。

(2)以水平点抽样和水平线抽样配合对样木检尺,以垂直点抽样和垂直线抽样配合对样木测定眼高以上干高或全高,均可估计单位面积林地的株数。但测高比检尺费工。 4种抽样方法的抽样概率与株数都不相关,每株样木的株数量测值都是1,即yi=1,估计株数的效率不高, 特别表现出小树的株数偏多,大树的偏少。

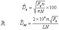
(3)以水平点抽样或水平线抽样估计的株数,可分别获得几何平均直径与算术平均直径的估计值:

公式 符号

(4)两种垂直抽样法均能估计平均高,但实际应用少。除因在常规林分内测高不易看清树梢外,还因不便使用前述直角三角形式垂直角规和须先知单位面积林地株数。改进垂直角规使用方法或构成垂直视角的方法有:用任何具有坡率(正切函数的百分数)的测斜器及林分速测镜,在测点上俯视树基与仰视树梢,正确求和所得的百分数,如大于tg α对应的坡率就被抽中为样木;反之未抽中、恰相等的算作半株样木。正确求和有两种情况:即树基低于观测者眼高时,两次读数相加;树基高于眼高时,树梢读数减树基读数。由于观测的是全高,前述平均高的估计公式中无须加眼高。实际观测时,靠近测点的树可以目测确定是否抽中,则所观测的株数,比常规作树高曲线所要测定树高的会少,且不必测定样木的实际高度。

蓄积量

材积与断面积之间有较强的正相关。林分蓄积量估计,多采用水平点抽样,而后通过估计值公式估算,具体方法有以下几种:

(1)对抽中的样木实测树高和测定中点直径求形数后求算蓄积量,工作量较大。

(2)生产上常采用对样木检尺(控制检尺),取得样木胸径。查适用的一元材积表对应于胸径的平均形高求算蓄积量。或者在检尺同时测定样木树高,从适用的二元材积上查平均形高。

(3)用角规抽样估计断面积与平均高,借助标准表求算蓄积量。

(4)实验形数法等。

图 疏密度

用角规估计的每公顷断面积,求与标准表对应于平均高的标准断面积的比值即得。

受多种林分调查精度技术因素的影响,为此常须通过下述方法加以调整:

(1)坡度改正。在坡地上进行角规观测的方法与平地相同,但必须将观测结果换算成水平观测结果。若样点周围的平均坡度为 θ,观测值应乘以sec θ。 但使用林分速测镜和望远林分速测镜时因其具有自动改正坡度影响的功能,观测结果不需改正。

(2)角规常数选择。平均直径、平均高和密度大的林分,应选用常数较大的角规。常用的水平角规常数为1~4,垂直角规常数多用公式 符号。角规常数过小时容易产生漏测,效果不好。

(3)角规样点个数确定。为使调查结果达到要求精度,需在林地内设置一定数量的角规样点(或样线),取所有样点测量结果的平均值。样点的多少与它们的布设方式(典型或随机等)和样点间观测值的变动系数有关,需在调查前根据要求加以确定。