水田七

概况

异名:水三七(贵州),水鸡仔(广西)。

基源:为蒟蒻薯科蒟蒻薯属植物裂果薯的干燥根状茎。蒟蒻薯属全世界约2种;中国均有,其中1种供药用。

原植物:裂果薯Schizocapsa plantaginea Hance(Tacca plantaginea(Hance)Drenth)

形态:多年生草本,高20~30cm。根状茎粗短,常弯曲。叶片狭椭圆形或狭椭圆状披针形,长10~15(-25)cm,宽4~6(-8)cm,顶端渐尖,基部下延,沿叶柄两侧成狭翅;叶柄长(5-)7~11(-16)cm,基部有鞘。花葶长6~13cm;总苞片4,卵形或三角状卵形,长1~2(-3)cm,宽0.5~1.8m,内轮2枚常较小,小苞片线形,长5~7(-20)cm;伞形花序有花8~15(-20)朵,花轮裂片6,外轮3片披针形,内轮3片卵圆形,较外轮短而宽;雄蕊6,花丝极短,顶端兜状,两侧向下突出呈耳状。蒴果近倒卵形,3瓣裂,长0.6~0.8cm;种子多数,半月形,长圆形或不规则长圆形,长约2mm,有条纹。花果期4~11个月。(图见《中国植物志》.第16卷,第1分册,54页,图版12)

生境与分布:生于海拔200~600m的水边、沟边、山谷、林下、路边、田边潮湿地方。分布于江西南部,湖南南部,广东、广西、贵州、云南。泰国、越南、老挝也有分布。

生药

采集:春、夏季采挖,洗净,切片,晒干或鲜用。药材产于广西、贵州、广东等地。

鉴别:根状茎圆球形或长圆形,稍弯曲,长2~4cm,直径1.5~2cm,上端有残存的膜质叶基;表面黄白或浅棕黄色,有粗皱纹,须根痕多数,质稍硬,折断面较平,颗粒性,暗黄褐色,微有蜡样光泽,散有点状维管束

贮藏:置干燥处,防蛀。

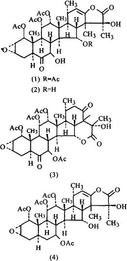
化学性质

含淀粉、生物碱、雅姆皂甙元(Yemogenin)和β-谷甾醇[2]。还分得多种甾族苦味物质,为银根酮内酯A(1),B(2),C(3),D(4)即TaccalonolideA,B,C,D[3,4]

参考文献

[1]全国中草药汇编,下册,人民卫生出版社,1978:125 。
[2]新华本草纲要,第1册,上海科学技术出版社,1988:511 。
[3]化学学报 1988;46(12):1201 。
[4]CA 1989;110:4661d。

药性

性味:甘、苦,凉。 ①《广西中药志》:“苦,寒。” ②《云南中草药》:“苦,微寒,小毒。” ③《全国中草药汇编》:“苦,寒,有毒。”

功效:清热解毒,散瘀消肿,理气止痛。

主治:消化道溃疡,肠炎,肺结核,百日咳,跌打损伤,刀伤出血,咽痛,痈肿,牙痛。 ①《南宁市药物志》:“消炎,解毒,止痛。治胃气痛,吐酸,咳嗽,白痢,咽痛,外敷治痈疮。” ②《广西中药志》:“止血。治跌打损伤,止咳化痰,各种痛症,调经。” ③《云南思茅中草药选》:“清热解毒,消炎止痛。治胃及十二指肠溃疡,高血压,肝炎,胃痛,烫伤,烧伤,疮疡。” ④《广西实用中草药新选》:“凉血止痛,散瘀消肿。治溃疡病,小儿疳积,腹痛,跌打损伤,痈肿,无名肿毒,胃热痛,急性肠胃炎,牙痛。” ⑤《全国中草药汇编》:“咽喉肿痛,急性肠胃炎,泌尿道感染,牙痛,慢性胃炎,胃、十二指肠溃疡,风湿性关节炎,月经不调,疟疾,跌打损伤;外用治疮疡肿毒,外伤出血。” ⑥《中草药学》:“胃、十二指肠溃疡,慢性胃炎,咽喉肿痛,牙痛,外伤出血,跌打损伤,疮疡肿毒。”⑦《新华本草纲要》:“用于胃、十二指肠溃疡、慢性胃炎,肺炎,上呼吸道感染,扁桃体炎,腮腺炎以及局部感染脓疮等症。有截疟功能。”

用法用量:内服:煎汤,10~15g。 外用:捣敷或研末调敷。

使用注意:《南宁市药物志》:“孕妇忌用。”

临床应用

单方应用:①《贵州草药》:“治臌胀:水三七、车前子各9~15g,水煎服。” ②《贵州草药》:“治巴骨癀:水三七捣烂,加酒少许,和匀外敷,每日1次。” ③《全国中草药汇编》:“治疟疾:水田七3~6g,胡椒作引,水煎服,每日1剂。忌酸、冷、鱼、鸡,蛋类,豆类及牛、羊肉,孕妇忌服。”