银线草

概况

异名:鬼督邮(《本草经集注》),独摇草(《唐本草》),四大天王(《植物名实图考》),四叶对(《安徽药材》),四块瓦(《广西中药志》),四叶金(《福建民间草药》)。

基源:为金粟兰科金粟兰属植物银线草的全草。金粟兰属约17种;中国约有13种和5变种。

原植物:银线草Chloranthus japonicus Sieb.

形态:多年生草本,高20~49cm;根茎多节,横走,分枝,生多数细长须根,有香气;茎单生或数个丛生,不分枝,下部节上对生2片鳞状叶。叶对生,通常4片生于茎顶,成假轮生,叶片齿尖有一腺体。穗状花序单一,顶生;苞片三角形或近半圆形;花白色;雄蕊3枚,药隔基部连合,着生于子房上部外侧;中央药隔无花药,两侧药隔各有1个1室的花药;药隔延伸成线形,长约5mm,水平伸展或向上弯,药室在药隔的基部;子房卵形,无花柱,柱头截平。核果具长1~1.5mm的柄。花期4~5月,果期5~7月。(图见《中国植物志》.第20卷.第1分册.89页.图版27∶5~8)

生境与分布:生于海拔500~2300m的山坡或山谷杂木林下荫湿处或沟边草丛中。分布于吉林、辽宁、河北、山西、山东、陕西、甘肃。

生药

栽培:宜阴凉湿润环境,需选疏松肥沃的壤土栽种。用分株繁殖,在春季挖出母株,将其丛生的小株进行分株,每株带有须根,按株行距各27cm左右开穴栽种。栽后注意浇水,经常中耕除草,适时追肥1~2次。

采集:春、夏间采收,洗净,阴干或鲜用。

化学性质

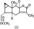
含倍半萜类化合物。有银线草内酯(Shizukanolide)D(1)[1]、银线草定醇(Shizukalidol)、银线草呋喃醇(Shizukafuranol)、银线草菖蒲二烯醇(Shizuka-acoradienol)[2]、8,9-Dehydro shizukanolide[3]、金粟兰内酯(银线草内酯,Chloranthalactone)A~E[4]、金粟兰酸(Chloranthalic acid)、金粟兰二聚酸甲酯乙酸酯(Methylchloranthadimericacid acetate)及其异构体[5]、活血丹内酯(Glechomano-lide)[6]、异呋喃二烯(Isofuranodiene)[7]苍术内酯(Atractylenolide)[4];还含黄酮甙、酚类,氨基酸和糖类[8]

参考文献

[1] CA 1989;110∶189391g。
[2] CA 1984;101∶3909t。
[3]- CA 1979;91∶35609f。
[4] Chem Pharm Bull 1980;28(1)∶92。
[5] 药学杂志(日)1991;111(12)∶756。
[6] CA 1980;93∶26567k。
[7] CA 1981;95∶93811q。
[8] 江苏省植物研究所等.新华本草纲要.第2册.上海科学技术出版社,1991∶65。

药理

银线草内酯A、B、C、D对小鼠淋巴肉瘤L-5178y细胞有抑制作用,ID50分别为2.5,1~2.5,20,50μg/ml。

参考文献

Chem pharm Bull 1980;28(1)∶92。

药性

性味:辛、苦,温。有毒。 ①《安徽药材》:“有剧毒。” ②《广西中药志》:“辛、苦,温。”

功效:散寒,祛风,行瘀,解毒。

主治:风寒咳嗽,妇女经闭,风痒,跌打,痈肿疮疖。 ①《植物名实图考》:“风损跌打,无名肿毒。” ②江西《中草药学》:“杀虫,祛风寒,行血破瘀,止咳化痰。”

用法用量:内服:煎汤,1.5~3g;或浸酒。外用:捣敷。

使用注意:孕妇忌服。 ①《浙江民间草药》:“多服会引起呕吐。又服药期间忌食糖及玉蜀黍。” ②江西《中草药学》:“大量服用会导致肝脏出血。孕妇绝对禁用。”

临床应用

方选和验方: ①福州台江区《验方汇集》:“治乳结:四叶金、芦根。上2味捣烂敷患处。” ②《福建民间草药》:“治蛇咬伤:银线草叶3~5片,雄黄少许共捣烂贴敷患处。”

单方应用:①《福建民间草药》:“治跌打损伤:鲜银线草30g,洗净,加红酒捣烂,搓擦或敷伤处。” ②江西《中草药学》:“治痈肿疮疖:银线草6g,煎服。” ③江西《中草药学》:“治皮肤瘙痒症:银线草煎水洗。”