黄珠子草

概况

异名:珍珠草、鱼骨草、日开夜闭(《南宁市药物志》),地珍珠、假芋(《广西药用植物名录》)。

基源:为大戟科叶下珠属植物单叶下珠的全草或根。

原植物:单叶下珠Phyllanthus simplex Retz.

形态:一年生草本,高约40cm,无毛。茎基部木质化,表面带紫色。叶互生,2列,线状长圆形,长1.3~2.5cm,宽3~5mm,先端急尖,基部近圆钝,全缘;叶柄短,长不及1mm,托叶2枚,卵状披针形,褐红色。花小,单性同株,单生或簇生于叶腋;雄花具短柄,萼片6,两轮,矩圆形,内轮较外轮大,黄绿色;花瓣无;雄蕊3,花药2室,蜜腺6枚;雌花具柄,柄长约1mm,花后伸长,萼6裂,裂片矩圆形,长约1mm,反折;2房3室,有3条纵槽和小疣状突起,花柱3枚,柱头2裂。蒴果球形,紫红色,平滑,3裂。种子棕褐色。花期9~10月,果期10~11月。(图见《中药大辞典》.下册.2073页.4245条图)

生境与分布:生于田野、山谷湿润处。分布于广东、广西。

生药

采集:夏、秋季采收,除去泥土,晒干或鲜用。

化学性质

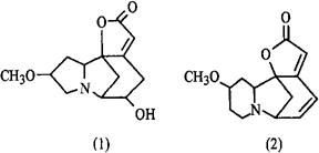
全植物含黄珠子草碱(拟)(Simplexine;14-Hydroxy-4-methoxy-13,14-dihydronorsecurinine)(1)、叶下珠碱(拟)(Phyllanthine)(2)。

参考文献

Phytochemistry 1988;27(9):3027。

药性

性味:①《全国中草药汇编》:“甘,平。” ②《南宁市药物志》:“甘,苦。” ③《新华本草纲要》:“甘,平。有小毒。”

功效:清热散结,健胃消积。

主治:①《新华本草纲要》:“用于痢疾,小儿疳积,外治乳腺炎。” ②《南宁市药物志》:“治疳积及疳积入眼。” ③《广西药用植物名录》:“治淋病,骨鲠喉,小儿疳积。根治乳房脓肿。”

用法用量:内服:煎汤,9~15g。外用:捣敷或煎水熏洗

临床应用

单方应用:《全国中草药汇编》:“治乳腺炎;黄珠子鲜全草,捣烂外敷,并用全草水煎外洗。”

食疗:《全国中草药汇编》:“治小儿疳积:黄珠子鲜全草10~15g,水煎服,或蒸猪瘦肉服。”