秋分草

概况

异名:大鱼鳅串(《全国中草药汇编》)。

基源:为菊科秋分草属植物秋分草的全草。秋分草属为单种属,中国有产,并入药。

原植物:秋分草Rhynchospermum verticillatum Reinw.

形态:多年生草本,高25~100cm。茎单生,稀簇生,被尘土状柔毛。叶两面疏生短伏毛;基部叶花期常凋落;茎中、下部叶倒披针形、长椭圆形稀匙形,长4.5~14cm,宽2.5~4cm,基部渐狭,边缘有波状锯齿,稀全缘;茎上部叶渐小,全缘或有尖齿。头状花序单生或近总状花序,直径4~5mm;花序梗密被锈色短柔毛;总苞宽钟状半球形,宽3~4mm,总苞片不等长,卵状长椭圆形,边缘膜质,撕裂;舌状花2~3层、雌性,白色,舌片长1.2mm,外面被腺点;中央管状花两性,长约2mm,被腺点。舌状花瘦果扁压,长椭圆形,长4mm,喙长,有脉状加厚的边缘,被棕黄色腺点;管状花瘦果喙短或无;冠毛纤细,易脱落。花果期8~11月。(图见《中国高等植物图鉴》.第4册.415页.图6244)

生境与分布:生于海拔400~2500m的林缘或林下沟边阴湿处。分布于福建、台湾、江西、湖北、湖南、广东及西南各地。日本及东南亚也有分布。

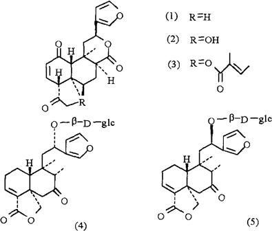
化学性质

含内-頳桐烷二萜成分。从全草中分得5个新的内-頳桐烷二萜类化合物:秋风草素(Rhynchosperin)A(1)、B(2)、C(3)和秋风草甙(Rhynchospermoside)A(4),B(5)。

参考文献

Phytochemistry 1987;26(12):3289。

药性

性味:淡,平。

功效:清热,利水。

主治:急、慢性肝炎,肝硬化腹水,白带,崩漏

用法用量:内服:煎汤,15~60g。

临床应用

单方应用:《全国中草药汇编》:“治急、慢性肝炎,肝硬化腹水,崩漏,白带:大鱼鳅串15~60g。水煎服。”