银叶树

概况

异名:大白叶仔(台湾)。

基源:为梧桐科银叶树属植物银叶树的果实和树皮。银叶树属全世界约有35种;中国有3种,产于台湾、广东、海南、广西和云南。

原植物:银叶树Heritiera littoralis Dryand.

形态:常绿乔木,高约10m。树皮灰褐色,小枝幼时被白色鳞秕。单叶互生,革质,叶柄长1~2cm;托叶披针形,早落;叶片长圆状披针形、椭圆形或卵形,长10~20cm,宽5~10cm,先端锐尖或钝,基部钝,上面无毛或几无毛,下面密银白色鳞秕。花单性,圆锥花序腋生,长约8cm,密被星状毛和鳞秕,花红褐色;萼钟状,5深裂,两面均被星状毛;雄花的花盘较薄,有乳头状突起,雌雄蕊柄短,花药4~5个在雌雄蕊柄顶端排成一环;雌花:心皮4~5,柱头与心皮同数短而下弯。成熟果实木质,坚果状,近椭圆形,光滑,长约6cm,直径约3.5cm,背部有龙骨状突起;种子卵形,长达2cm。花期夏季。(图见《中国高等植物图鉴》.第2册.826页.图3381)

生境与分布:生于热带沿海海岸,为红树林的树种之一。分布于台湾、广东、海南、广西。

化学性质

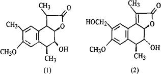
含倍半萜。有银叶树素(Heritianin)[1]、银叶树宁(Heritonin)[2]、瓦拉平(Vallapin)(1)和瓦拉宁(Vallapianin)(2)[3]。种子含有酯肪酸、无机物和蛋白质[4]

参考文献

[1] CA 1987;106∶172901t。
[2] J Nat Prod 1989;52(4)∶896。
[3] J Nat Prod 1991;54(1)∶286。
[4] CA 1993;118∶35905f。

药性

主治:《新华本草纲要》:“种子:腹泻,痢疾。嫩枝:可作牙刷。因其含鞣质,对牙龈有益。”