伊犁飞燕草

概况

异名:飞燕草(《新疆中草药》)。

基源:为毛茛科翠雀属植物伊犁翠雀花的全草。

原植物:伊犁翠雀花Delphinium iliense Huth.(Delphinium longicilia.tum W.T.Wang)

形态:茎高22~8cm,疏被白色硬毛,通常不分枝。叶片肾形或近五角形,长3~6.5cm,宽3.5~11cm,3深裂稍超过中部,中央深裂片菱形,3浅裂,有卵状疏锯齿,侧深裂片斜扇形,不等2裂近中部。总状花序狭,有5~12花;花梗无毛;小苞片生花梗上部距花3~5mm处;萼片蓝紫色,上萼片卵形,距圆筒状钻形,与萼片近等长或稍短;花瓣片宽卵形,2浅裂,爪比瓣片稍短;雄蕊无毛,心皮3,近无毛。种子只沿棱有翅。花期7~8月。(图见《中国植物志》.第27卷.382页.图版89)

生境与分布:生于海拔2000m一带山地灌丛中或多石砾山坡上。分布于新疆西部。原苏联中亚地区也有分布。

化学性质

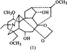
地上部份含翠雀考林啶碱(Delcoridine)(1)、翠雀考林碱(Delcorine)、去氢翠雀考林碱、牛扁次碱(Lycoctonine)、接骨灵(Eldeline)、棕灵碱(Browniine)、伊犁翠雀碱(Ilidine)等8种生物碱

(1)

参考文献

Chem Nat Prod 1980;16(5):479。

药性

性味:全株:微苦,寒。

功效:清热燥湿,止痢。

主治:湿热痢疾。