药材名称:羊吊钟
名称出处:《全国中草药汇编》
概况异名:玉吊钟(《全国中草药汇编》)。
基源:为景天科落地生根属植物洋吊钟的鲜全草。落地生根属约20种,主产于非洲;中国栽培有3种,其中2种供药用。
原植物:洋吊钟Kalanchoe verticillata Elliot(Bryophyllum tubiflorum Harv.)
形态:多年生肉质草本,植株高可达1m。茎直立,无毛,不分枝或由基部分枝。单叶,对生或轮生,无柄;叶片淡绿色而有紫褐色斑点,近圆柱形,长3~15cm,水平排列于茎上,每叶顶端常萌生出4个小芽孢体,该芽孢体在植株能生根,落地后即能独立生长。聚伞花序顶生,花下垂,长约2.5cm,橙红色、红色或黄色,花冠4裂;雄蕊8,2轮,着生于花冠管基部,心皮4,分离。蓇葖果。种子多数。花期10月至翌年3月。(图见《福建植物志》.第2卷.图171)
生境与分布:原产非洲马达加斯加,中国福建、广西等地栽培观赏。
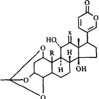
化学性质含强心甙类化合物,有藓毒素A(Brytoxin A,Bufadienolide 3’-0-acetyl-4’,6’-dideoxyalroside)、藓毒素B(1,3,5-Orthoacetate bufadienolide)、藓毒素C(Orthoacetate bufadienolide)(2)[1,2]。
参考文献
[1] CA 1986;104:14546k。
[2] CA 1987;106:2890w。
药性
性味:《全国中草药汇编》:“酸,凉。”
功效:清热解毒。
主治:烧烫伤,外伤出血,疮疖红肿。
用法用量:外用:捣敷,或加黄糖捣敷。