桐叶

概况

异名:白桐叶(《本草经集注》)

基源:为玄参科泡桐属植物白花泡桐的叶。

原植物:白花泡桐Paulownia fortunei(Seem.)Hemsl.

余项参见“桐皮”条。

化学性质

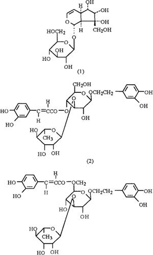
含桃叶珊瑚甙(Aucubin)[1]、泡桐甙(Paulownioside)(1)[1],还有毛蕊花甙(Verbascoside)[2](2)及异毛蕊花甙(Isoverbascoside)(3)[2]

还含Ca 2.41%、P 0.16%、Mg 0.64%、K 0.89%、6.18%的灰分、Fe 700ppm、Cu 13.1ppm、Mn 82.6ppm、Zn 26.4ppm、Al 373ppm、B 35.7ppm、Ni 2.89ppm、Co 1.80ppm、Pb 1.62ppm、Cr 1.61ppm、Na 409ppm及V 1.34ppm[3]。桐木、根皮及叶中有梓醇(Catalpol)[1]

参考文献

[1] J Nat Prod 1981;44(6):739。
[2] Z Naturfurforsch B Anorg Chem Org Chem 1982;37B(12)∶1633。
[3] 林产化学工业 1988;8(3):44。

药性

性味:《本经》:“苦,寒。”

主治:痈疽、疔疮,创伤出血。 ①《本经》:“主恶蚀疮著阴。” ②《纲目》:“消肿毒,生发。”

用法用量:外用:以醋蒸帖、捣敷或捣汁涂。内服:煎汤,15~30g。

临床应用

方选和验方: ①江西《草药手册》:“治无名肿毒:桐叶、醉鱼草各15g。捣敷。” ②《补缺肘后方》:“治人须鬓秃落不生长;麻子仁90g,白桐叶60g。米泔煮五、六沸,去滓,洗之。”

单方应用:①《医林正宗》:“治痈疽发背大如盘,臭腐不可近:桐叶醋蒸贴上。退热止痛,渐渐生肉收口。” ②《河南中草药手册》:“治白喉:霜打泡桐叶30g。水煎,红糖30g冲服。” ③《湖北中草药志》:“治跌打损伤、骨折:鲜泡桐叶适量。捣烂,加酒炒热外敷。”

参考文章