蛇退步

概况

异名:蛇鳞草、三枝标(《广东中药》),三叉蕨(《广西药用植物名录》),入地蜈蚣(广东),小一包针(广西)。

基源:为金星蕨科新月蕨属植物三羽新月蕨的干燥全草。

原植物:三羽新月蕨Pronephrium triphyllum(Sw.)Holtt.[Meniscium triphyllum Sw.;Dryopteris triphylla C.Chr.;Abacopteris triphylla(Sw.)Ching],又名三叶毛蕨(《广州植物志》),三叶新月蕨(《台湾植物志》)。

形态:植株高20~50cm。根状茎横生,疏生披针形棕色鳞片及密被灰白色短毛。叶远生或近生,一型;叶柄长10~35cm,禾秆色,有短毛,基部疏生鳞片;叶片纸质或坚纸质,卵形或卵状披针形,3出复叶,偶有5小叶的,一回羽状;顶生羽片特大,椭圆状长圆形,长10~20cm,宽2~4.5crn,顶端急缩狭呈长渐尖,基部楔形,全缘或呈波状,侧生羽片较小,长2~6.5cm,宽1~2.5cm,通常一对,偶有2对,近对生,略有短柄,仅背面叶脉有短柔毛,叶片干后褐色;叶脉网状,在侧脉间形成2行整齐的网眼。孢子囊群幼时圆形,生于小脉上,成熟时满布于叶背;无囊群盖。(图见《中药大辞典》.下册.2123页.4347条图)

生境与分布:生于海拔20~1500m的林下溪谷边或路旁。分布于福建、台湾、广东、广西、云南。

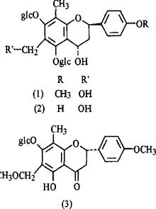
化学性质
参考文献

Chem Pharm Bull 1985;33(12)∶5231。

药性

性味:苦、辛,平。 ①《全国中草药汇编》:“微甘、辛,平。” ②《广东中药》:“微涩,平。” ③《广东中草药》:“微苦、辛,平。”

功效:解毒,消肿,清热,化痰,止痒。

主治:疮痈肿毒,跌打损伤,水肿,湿疹,皮肤瘙痒。 ①《全国中草药汇编》:“治毒蛇咬伤,跌打损伤,湿疹,皮炎,痈疮疖肿,急、慢性支气管炎。” ②《广东中药》:“治痈肿疮毒,疮疖,皮肤瘙痒,反胃,水肿。”

用法用量:内服:煎汤,4.5~9g(鲜品30~60g)。外用:研末调敷。

临床应用

单方应用:①《广西本草选编》:“治跌打肿痛,毒蛇咬伤,疮疖肿毒,湿疹:鲜蛇退步全草9~15g,水煎服;并用鲜全草捣烂外敷患处(毒蛇咬伤敷伤口周围)。” ②《广西本草选编》:“治急、慢性气管炎:蛇退步全草9~15g,水煎服。” ③广州空军《常用中草药手册》:“治毒蛇咬伤,湿疹,皮炎,气管炎:蛇退步9~15g(鲜品30g),水煎服,或鲜品捣烂外敷。”