[拼音]:dianneng buzu qiwangzhi
[外文]:expected energy not serve,缩写EENS
表示电力系统由于机组受迫停运而造成的对用户少供电能的期望值,这一指标能说明故障的严重程度,因为电力系统受限制的因素不仅仅是缺电力,更重要的是发电量的短缺。
计算EENS指标时,一般必须先制订发电机组的停运容量概率表和小时负荷曲线。对某一已知停运容量状态,则每小时不足电量等于不足电力乘以此状态的概率,即
EENS=(X-R)×P(X)
式中X为停运容量,R为系统备用容量,P(X)为停运容量为X的确切概率。
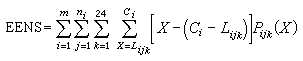
一年中EENS值可由下式计算:
式中P
(X)为第i时间段第j天第 k小时停运容量大于等于X的概率,Ci为第i时间段的系统装机容量,L
为第i时间段第j天第K小时的负荷,m为一年中时间段,ni为第i时间段中的天数,K为一天中的第K小时。
电能不足期望值综合表达了停电次数、平均持续时间和平均停电功率。