[拼音]:pinghuafa
[外文]:smoothing method
对不断获得的实际数据和原预测数据给以加权平均,使预测结果更接近于实际情况的预测方法,又称光滑法或递推修正法。平滑法是趋势法或时间序列法中的一种具体方法。
对于实际数据接近于平稳不变的情况,可以应用一次平滑法,以消除偶然因素的影响。一次平滑的算式为
,式中 a为平滑参数,
为t时刻采样值,
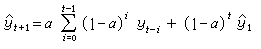
的估值,即预测值。将上述迭代式在时间上展开,直接用采样值
以及估值尳1来表示,即有
这表明在t+1时刻的估值
是以往实际采样值的加权平滑,而其加权系数相对于时间的关系符合指数规律,使较早时刻的情况对预测影响较少。因此,这种平滑法也称指数平滑法。平滑参数 a的值应按实际应用经验选定。a越大,表示近期的实际采样值影响越大。有时为了获得更好的修正效果,可以随时调整 a值,使它成为时变的。例如可选
;而当
时则选
凭经验选定的下限值),于是有a1=1.00,a2=0.50,a3=0.33,a4=0.25,a5=0.20,…,a=amin。如果先应用另一种预测方法求得
的估值,再按上一时刻的预测偏差进行修正,则可提高预测精度。这就是一种递推修正法。这种方法假设一种预测方法对相邻两时刻的预测偏差有关联,因而可用某时刻的预测偏差来修正下一时刻的预测值。二次平滑法是指线性趋向时间序列连续两次应用一次平滑法来估计参数的方法。此外,还有高次平滑法。移动平均法也是平滑法的一种。
- 参考书目
- N.T.Thomopoulos著,刘涌康等译:《实用预测方法》,上海科技文献出版社,上海,1980。(N.T. Thomopoulos,Applied Forecasting Methods, Prentice-Hall, Englewood Cliffs, 1980.)