并联

若干二端电路元件共同跨接在一对节点之间的一种连接方式(图1)。

图

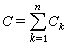
这样连成的总体称为并联组合。其特点是组合中的元件具有相同的电压V,流入组合端点的电流等于流过各个元件的电流之和,即

公式 符号

式中n代表并联的元件数。

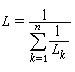
当并联的电路元件是线性时不变电阻元件时(图2),整个并联组合等效于一个电阻元件,其电导等于各并联电阻的电导之和。这个等效电阻元件的电导称为并联组合的等效电导,其倒数称为等效电阻。

图

在图2所示的电阻元件的并联组合中,电流按下列诸式分配

公式 符号

式中G是并联组合的等效电导,公式 符号称为并联组合的分流比。电阻元件并联连接所起的分流作用是制作分流器的依据。

类似地,n个初始条件为零的线性时不变电容元件并联时的等效电容为

公式 符号

同样,п个初始条件为零的线性时不变电感元件并联时的等效电感为

公式 符号

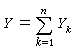
在正弦稳态下,电压电流可改用相量表示;所有的无源二端元件皆可统一地用复数阻抗或复数导纳来表征。n个复数导纳的并联组合的等效导纳为

公式 符号

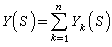
式中YK是并联组合中第 K个导纳。上式还可进一步推广成适合复频域的公式,即n个算子(运算)导纳的并联组合的等效算子导纳为

公式 符号

式中YK(S)是并联组合中第K个算子导纳。

参考文章