资金的时间价值

资金经合理运用一定时间后,所具有的赢利增值的潜在能力。利率越高、时间越长,所赢得的利润及增值也越多,一般以复利公式加以计算。现在拥有的一定数量的资金,等价于若干年后更大数量的一笔资金;同理,若干年后的一笔资金,折算为现值时要打一折扣。一年后的资金折算为现在的资金时所打的折扣,称为折现率。由于水利工程的寿命一般很长,在寿命期内还要确定一个为期30~50年的经济分析期。在此期中每年都可能投入或回收一定的资金。为了比较各方案的经济效率,需要将不同年份的资金按其时间价值折算为同一时间的资金值。

图

资金流程图

为了直观清晰地表达某项水利工程各年投入的费用和取得的收益,可以绘制资金流程图(图1)。图中的横坐标为时间,每小格表示1年;纵坐标为资金,箭头长度按一定比例表示资金数值,箭头向上的为收入,向下的为支出。一般以工程完工并开始投入运行之年的年初作为原点(基点),原点左边各年是施工期,原点右边各年是运行期。为简便起见,一般都把各年的收支金额当作是集中在年末发生的。从图上可以很容易看出,第一年的年末就是第二年的年初。

不同时资金的相互折算

根据复利计算原理对不同年份的资金,可按下列方法进行相互折算。

一次整付折算

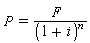
资金P在第一年初开始使用,如年利率为i,在使用期中不取出利息,则到n年末所一次整付的本利和F值应为:

F =P(1+in     (1)

式中P为现值;F为终值;(1+i)n为一次整付终值因子并用符号(FPin)表示。亦即现在的P元,可折算为n年末的P(1+i)n元。

当已知终值F,要折算为现值P时,可用下式计算:

公式 符号     (2)

式中公式 符号为一次整付现值因子,用符号(P/Fin)表示。

图 均等年金折算

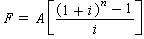
如在 n年的每年末均存入一相等的年金A值(图2),年利率为i,则到n年末所得本利和F为:

公式 符号     (3)

式中公式 符号为均等年金本利因子,可用符号(F/Ain)表示。

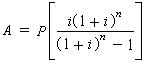
如已知F,要折算为各年年金为An年均等系列,则可用下式计算:

公式 符号     (4)

式中公式 符号为偿债基金因子,用(A/Fin)表示。其含意为如某人拟在n年末偿还1元的债务,当年利率为i时,应在n年中的每年末支付(A/Fin)金额。

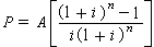
将均等年金系列换算为相应的现值P时,可用下式:

公式 符号     (5)

式中公式 符号为均等年金现值因子, 用(P/Ain)表示。其含意是,如在n年中的每年末要提取1元钱,且年利率为i时,在开始时应投入的资金数值。

将现值P换算为等价的均等年金系列时,可用下式:

公式 符号     (6)

式中公式 符号为资本回收因子,用符号 (A/Pin)表示。其含意为开始投入1元钱,当利率为i时,在n年的每年末可以提取的钱数。

图 递增等差年金折算

如在n 年内每年年末的收入不是均等的,而是随着工程的逐渐完善而成等差级数递增的,就成为一个递增等差年金系列(图3)。在第一年末收支的金额为0,第二年末的金额为G,第3年末的金额为2G,如此类推,在Π年末的金额为(n-1)G,各年的级差为G

这一递增等差年金系列可按下式折算成现值P:

公式 符号     (7)

也可按下式折算为均等年金系列的A:

公式 符号     (8)

式中公式 符号为递增转换因子,用符号(A/Gin)表示。用此因子将递增等差年金系列转换成一个均等年金系列后,即可利用上面的(3)(4)(5)(6)各式,进行资金的各种折算。

复利因子表

上列公式(1)(2)(3)(4)(5)(6)(8)中的各种复利因子,均已按不同的利率i和年数n,制成复利因子表(见表),加以查用,可使计算十分简捷。

图

水利工程寿命

包括物理寿命和经济寿命两方面。

(1)物理寿命:从水利工程或某项设施建成至不能使用为止的一个期限,又称实际寿命。

(2)经济寿命:从某项水利工程或设施投入使用起,至一定年数后,由于效益降低、运行维修费用增加或高效能新产品的问世,以致再继续使用原设施不如重新建造或购置更新,更为经济。这时,这种设施的经济寿命就结束了。随着科学技术的进步,同等效能设施的建造费和运行维修费往往比以前降低,因此经济寿命就会缩短。不易损坏的耐用建筑物的经济寿命很长,而机电设备的经济寿命一般较短。可根据更新重置的经济分析,对水利工程的经济寿命加以确定。

经济分析期

在工程的经济寿命期内,选定一个期限作为各方案共同的经济分析期。这一期限应有足够的长度,使各方案的有利和不利的经济、环境和社会方面的效果均能充分显示出来,并达到相对稳定的程度,从而使各方案之间具有比较一致的可比条件。

一般大型水利工程的经济分析期可以采用50年。如果某一方案的经济寿命短于共同的经济分析期时,则可以在它的寿命终了时进行更新重置,以便与经济寿命较长的方案进行比较。如果某工程方案的经济寿命长于经济分析期,则应计算该方案在经济分析期终了时所保有的残值。