[拼音]:diancichang de Gelin hanshu
[外文]:Green’s function of electromagnetic field
在线性媒质中,任意分布的简谐(或稳恒)源所激励的场,都可以化为单位点源所激励的场的线性组合。在确定的媒质和边界条件下,单位点源所激励的场矢量或势函数就称为该条件下场或势的格林函数。它们是场点位置矢径r和源点位置矢径r′的函数。电磁场边值问题的解可以表示成源函数与格林函数乘积的积分。
标量格林函数
在均匀无界媒质中,自由电荷密度ρ 所产生的标势φ在洛伦兹规范下满足方程
(1)
式中k2=ω2εμ,该标势的格林函数G(r,r′)应满足方程
(2)
式中
2对r点的坐标作运算,δ(r -r′)是集中作用在r′点的狄拉克δ-函数。此方程的解是
(3)
由此可得标势的解是下列对r′的坐标的积分
(4)
当媒质为分区均匀时,在分界面上G 应满足与φ相同的连续性条件。设G=G0+G1,其中G1表示分界面的影响,且在r →r′时应为有限值。例如在理想导体平表面S的上半空间中的格林函数为
(5)
式中第一项即为G0,第二项表示导体表面的影响,r媴是r′关于平表面的镜象点。
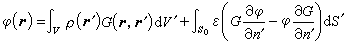
如果均匀媒质空间V被闭曲面S0所包围,应用格林第二公式,并利用格林函数的对称性 G(r′,r)=G(r,r′),可得
(6)
为了消除面积分中的未知项,应当根据φ 的已知边界条件来规定G 的边界条件,具体来说,当已知φ 或
或
的边界值时,应相应地规定
例如,V是无限大平面S的上半空间,已知V内的源分布ρ和S上的φ 值,利用格林函数(5)式并注意到
以及对于S上的源点ri=r,有
和
于是
(7)
并矢格林函数
以上的讨论也适合场或矢势的各直角坐标分量。对于矢量源函数,通常将r′点的源矢量分解为三个正交分量,分别求出在r点的场或势。于是对于电场和磁场矢量,共有 6个矢量格林函数,采用并矢记法,则可合并为两个并矢格林函数。
设在r′点放置的电流源J, 它的三个分别沿正交单位矢量e媴(i=1,2,3)的电偶极矩为
(8)
则体积V中的电流源J(r′)所产生的电场为
(9)
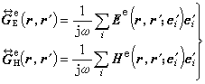
记电场和磁场的电并矢格林函数分别是
(10)
则(9)式可写成并矢的形式
(11)
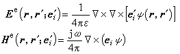
一般情况下,沿 e媴 方向的电偶极矩所产生的电场Ee(e媴)应满足方程
(12)
对应有电并矢格林函数的方程
(13)
和关系式
(14)
在无界均匀媒质中
(15)
对应有电并矢格林函数
(16)
式中
是单位并矢,
当r →r′时,Ee为|r →r′|-3的量级,所以当J(r)厵0时,
在数学上不收敛,应当取其主值。因此,一般应使
(17)这里V0是包含r 点的某种形式的微体积;
是一个并矢,V0→r表示V0全部的点趋近于r点。
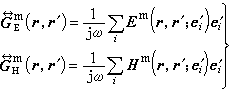
同样,还可以规定另一对磁并矢格林函数
和
,它们对应了沿e媴方向的磁偶极矩所产生的电磁场Em(r,r′;ei)和Hm(r,r′;e媴),并有关系式
(18)
它们满足方程
(19)
和关系式
(20)
- 参考书目
- P.M. Morse and H. Feshback,Methods of Theoretical physics,McGraw-Hill,Inc.,New York,Kōgakusha Co.,Ltd.Tokyo,1953.
- C. T. Tai,Dyadic Green's Functions in Electromagnetic Theory ,Intext Educational Pub.,Scranton,1971.