[拼音]:buquedingxing juece
[外文]:decision under uncertainty
在无法估计系统行动方案所处状态概率的情况下进行的决策。不确定型决策的基本方法是先用效用值表示各种可能的后果,构造一张支付表,再用一定的评价准则来评定各个方案的优劣,从而选出最优方案。若有n种行动方案(a1,a2,...,an)可供选择,可能出现m 个状态(θ1,θ2,...,θm),方案ɑi在状态θj所出现的后果用效用值表示,记作Cij=C(ai,θj),即可得出构造矩阵表,又称支付表(见表)。根据支付表可用不同准则评价方案的优劣,从而选出最优行动方案(或称最优策略)。常用的准则有拉普拉斯准则、瓦尔德准则、赫维兹准则、混合准则和萨沃格准则。
拉普拉斯准则
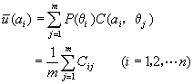
这个准则假定所有状态都是以相等概率出现:P(θ1)=P(θ2)=...=P(θm)=1/m,P(θj)为θj状态下的概率。用期望效用值ū(ai)作为评价方案ɑi的准则:
满足
的方案a壟为最优方案。
又称悲观准则或max-min准则。用这一准则决策时对客观情况的估计持悲观态度,在支付表中对每一方案ɑi总是估计会出现最坏结果,从中找出一个较好的方案。其评价准则为
满足
的方案a壟为最优方案。
又称乐观准则或max-max准则。用这一准则决策时对客观情况的估计总是抱乐观态度,在支付表中对每一方案ɑi总是估计会出现最好结果,其评价准则为
使ū(ɑi)最大的方案a壟为最优方案。
混合准则又称 α乐观准则。在支付表中对每一方案 ɑi既非全部悲观,也非全部乐观,而是各取一部分。为此引入系数α ,满足0≤α≤1,因此
使ū(ɑi)最大的方案a壟为最优方案。
萨沃格准则又称遗憾准则。在支付表中先按列计算其最大值,同列中未达到最大值者与最大值的差值称为遗憾值,记为Rij。这些Rij构成遗憾值矩阵,对遗憾值矩阵每一行取最大值,记为
,i=1,2,...,n。在所有
中取最大者
,a*就是最优方案。
在同一个支付矩阵表的情况下,由于所采用的准则不同,所选出的最优方案常常不同。因此需要根据决策者所遇到问题的实际情况决定采用什么准则,有时也可采用多种准则互相参照。
- 参考书目
- A.P.Sage, Methodology for Large Scale Systems, McGraw-Hill, New York,1977.