[拼音]:xingxing-sanjiaoxing bianhuan
[外文]:star-delta transformation
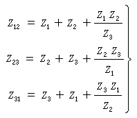
一种简单的电路间等效变换。 以阻抗为参数的3个电路元件的星形连接如图1所示, 三角形连接如图2所示。当这两种连接有相同的外特征时,二者便可等效互换。互换的规则是:将星形连接变换成三角形连接,要求后者的参数与前者的参数之间有如下的关系,即
(1)
反之,将三角形连接变换成星形连接,则需要
(2)
当Z1=Z2=Z3=Z时,式(1)简化为
Z12=Z23=Z31=3Z
Z12=Z23=Z31=Z 时,式(2)简化为
式(1)和式(2)称为两种连接间的互换公式。