[拼音]:youqujin
[外文]:atrazine
一种三嗪类除草剂,学名2-氯-4-乙氨基-6-异丙氨基-1,3,5-三嗪,又名阿特拉津。工业产品为白色固体,纯品熔点175~177°C,在水中溶解度为33ppm。化学性质稳定,毒性低,急性毒性LD50值:对大白鼠经口为1859~3080mg/kg(见农药)。莠去津的除草性质是1957年由瑞士的H.盖辛和E.克努斯利发现的,1958年由瑞士的嘉基公司开发生产,后来发展成世界产量最大的除草剂。中国在70年代开始生产。
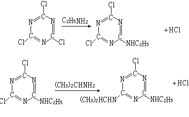
生产方法是用三聚氯氰分两步依次和乙胺及异丙胺在碱性介质中反应,取代两个氯原子,生成莠去津原药。
莠去津是芽前土壤处理除草剂,也可芽后茎叶处理。主要通过植物根部吸收并向上传导,抑制植物的光合作用,使其枯死。它的杀草谱较广,可防除多种一年生禾本科和阔叶杂草。通常加工成可湿性粉剂和悬浮剂使用,适用于玉米、高粱、甘蔗等旱田作物除草,尤其对玉米有较好的选择性(因玉米体内有解毒机制)。