[拼音]:Gaosi tongliang dingli
[外文]:Gauss flux theorem
电场中电通量与电荷间的基本关系之一。根据库仑定律可以证明:由-×任意闭合面S穿出的电场强度E的通量ψE应等于该面内所有电荷的代数和并除以真空介电常数ε0。这就是高斯通量定理。 由电通量的定义
定理可表示为
式中∑q包括S面内的自由电荷与束缚电荷(见电介质)。
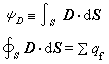
此定理的另一形式是:由任意闭合面S穿出的电位移D的通量ψD应等于该面内所有自由电荷的代数和,即
式中∑qf为S面内的自由电荷。该式表明,不论电介质分布情况如何,由任一闭合面穿出的电通量ψD只与面内的自由电荷有关,而与电介质的束缚电荷无关。但是,这不能理解为D的空间分布与电介质的束缚电荷无关, 因为有电介质后,在S面上有的地方D变大而有的地方D变小,只是保持对S的面积分不变。
对于无限大均匀电介质中的电场,高斯定理的特殊形式为
式中 ε为该电介质的介电常数。此式只适用于无限大均匀电介质的情况。
高斯定理的微分形式为
即电位移的散度等于该点自由电荷的体密度ρf。它是电磁场方程组的基本公式之一。