草甘膦

公式 符号  一种有机磷除草剂, 学名N-(膦酰基甲基)甘氨酸。纯品为白色固体,熔点约230℃(分解),在水中溶解度为1.2%(25℃),不溶于一般有机溶剂,它的盐在水中有更大的溶解度。毒性低,急性毒性LD50值:对大白鼠经口为4320mg/kg(见农药)。

草甘膦的除草性质是1971年由美国D.D.贝尔德等发现的,由孟山都公司开发生产,到80年代已成为世界除草剂重要品种。

生产方法主要有两种:

(1)加压法 用三氯化磷与无水甲醛在加压下反应,产物水解得到氯甲基膦酸,再与甘氨酸缩合生成草甘膦原药,反应式为:

公式 符号

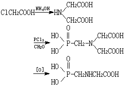
(2)常压法 用氯乙酸和氨水在氢氧化钙存在下反应得到亚氨基二乙酸,再与甲醛、三氯化磷缩合生成中间体双甘膦,最后氧化得到草甘膦原药,反应式为:

公式 符号

草甘膦是灭生性芽后除草剂,通过茎叶吸收进入植物体内,并传导至全身组织,抑制氨基酸的生物合成,干扰光合作用,使之枯死。草甘膦对一二年生和多年生深根杂草均能防除,但对作物也有药害,不可直接喷洒到作物植株上。通常使用其盐类的水溶液,用于橡胶园、茶园、果园、森林苗圃及防火带等除草,也广泛应用于铁路、公路、机场、油库、电站等非农耕地的除草。草甘膦还可配合免耕法在农作物休耕期或播种前施用,杀死田间覆盖的杂草。草甘膦在土壤中迅速分解,没有持效期。

参考文章