[拼音]:fenzi zhengliu
[外文]:molecular distillation
一种在高真空下操作的蒸馏方法,这时蒸气分子的平均自由程大于蒸发表面与冷凝表面之间的距离,从而可利用料液中各组分蒸发速率的差异,对液体混合物进行分离。
在一定温度下,压力越低,气体分子的平均自由程越大。当蒸发空间的压力很低(10-2~10-4mmHg),且使冷凝表面靠近蒸发表面(见图),
其间的垂直距离小于气体分子的平均自由程时,从蒸发表面汽化的蒸气分子,可以不与其他分子碰撞,直接到达冷凝表面而冷凝。根据分子运动论,气体与固体壁面接触时,单位时间内撞击单位壁面的摩尔数为:
式中p为压力;R为摩尔气体常数;T为绝对温度;M为气体的分子量。纯液体的蒸发速率(即单位时间内单位表面所蒸发的摩尔数)也可由上式计算,只须以饱和蒸气压p°代替式中的p。
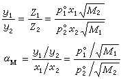
对于分子蒸馏,蒸发出来的气体分子全部达到冷凝面而冷凝,故蒸发速率之比就是馏出液组成比,即
式中y1和y2分别为两组分在汽相中的摩尔分数;x1和x2分别为两组分在液相中的摩尔分数;αM为分子相对挥发度,其值越大,分子蒸馏越容易进行。液体蒸发表面上的流动情况和液体中组分向蒸发表面的扩散,对分子蒸馏过程有重要影响。减薄液膜厚度,强化液膜的表面更新,都有利于组分分离。
由于分子蒸馏是高真空下的操作,蒸发温度远低于物料的正常沸点,因而适用于一些沸点很高或热稳定性很差的物质的分离和精制。例如从鱼肝油中提取维生素A,增塑剂的提纯,以及某些油脂的精制。