[拼音]:gaopin fanhui sanshe
[外文]:high-frequency backscattering
斜向入射到电离层的高频段 (3~30兆赫)无线电波,经电离层反射(可能多次)后因地面地形不平坦和电气不均匀性而向四面八方散射。其中一小部分电波能量沿相反方向(路径可与以前相同或不同),由电离层反射折回到地面电波发射点。这种传播机理称为高频返回散射。它可用于监视和预报高频无线电电路的工作条件,能成功地确定电路最高可用频率、跳距和它们在地球物理因素影响下的变化(见超视距雷达)。
研究高频返回散射所使用的设备的原理,与垂直探测或斜向探测设备大致相同(见电离层垂直探测),不同的是它的收发设备放在一起并斜向发射。为了提高对回波精细结构的分辨度,需要使用大型的收发天线阵列、几十至几百千瓦的功率和先进的信号处理技术。这些设备称为高频返回散射仪,用于研究返回散射回波的各种信息,如频率与回波时延的特性、频率与回波幅度的特性、回波多普勒频谱特性、回波幅度的时延分布特性和回波时延的时间变化等。
高频返回散射回波有很陡峭的前沿,回波前沿对应的时延称最小时延。在扫频返回电离图(P-f图)中,各频率所对应的最小时延组成一条连续曲线,称为最小时延线。前沿陡峭是由电离层球面聚焦和时间聚焦造成的。辐射的脉冲电波前向传播时,沿最小时延传播的能量能到达比跳距稍远一点的地面,电离层球面聚焦使很大范围内入射角的射线在最小时延附近的群时延变化不大,即能量集中在这一段地面上,亦即包含在很大角度范围内的功率密度集中在很短的一段时间内。当电波从这一段地面发生散射并沿原路径返回传播时,便重复这种时间的“压缩”现象,故称“时间聚焦”。因此,在最小时延处能量特别集中,造成前沿陡峭。
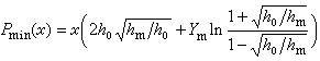
如果电离层电子密度沿高度的分布可用抛物模式表示,则最小时延线可表示为
式中hm=h0+Ym;hm为层的最大电子密度高度;h0为电离层底高,Ym为层的半厚度;x为工作频率与临界频率之比。在平面地面时,频率与时延为线性关系;在球形地面时,时延增长随x增大而加速,最小时延线为一曲线。