[拼音]:dianchang qiangdu
[外文]:electric field intensity
描述电场的一个物理量。是个矢量。在电场中某观察点的电场强度E,等于置于该点的静止试验电荷q'所受的力F与电量q'的比。试验电荷q'的数值应足够小,不改变它所在处的电场。这样,电场强度就等于每单位正试验电荷所受的力。
在国际单位制中,电场强度的单位是伏/米。
对于真空中静止点电荷q所建立的电场,可以由库仑定律得出
式中r是电荷q 至观察点(或q')的距离;r0是由q 指向该观察点的单位矢量,它标明了E的方向;ε0是真空介电常数。
静电场或库仑电场是无旋场,可以引入标量电位φ,而电场强度矢量与电位标量间的关系为负梯度关系
E=-墷φ
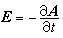
时变磁场产生的电场称为感应电场,是有旋场。引入矢量磁位A并选择适当规范,可得电场强度与矢量磁位间的关系为时间变化率的负数关系,即
感应电场与库仑电场的合成电场是有源有旋场
电场强度的大小,关系到电工设备中各处绝缘材料的承受能力、导电材料中出现的电流密度、端钮上的电压,以及是否产生电晕、闪络现象等问题,是设计中需考虑的重要物理量之一。