单象限直流变换电路

常用的基本直流电压变换电路。其特点是输出电压平均值U0随控制信号而变,但电压电流平均值的极性均不能改变,负载只能向直流电源吸取电能,而无反馈电能的能力。即电路仅运行于伏安特性的一个象限中,只有单向输送功率的功能。属于这类电路的有降压型电路、升/降压型电路、升压型电路和丘克电路。前两种电路的输入电流为断续,谐波含量大;后两种电路的为连续,谐波含量小。

降压型电路

输出电压平均值u0恒低于其输入电压平均值ud的电路。其结构如图1a所示。

图

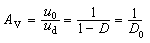
图中可控元件T用具有自关断能力的全控型元件表示(若采用无关断能力的普通晶闸管则需加换流电路)。由图可见,当T处于导通时,输出端有电压uD=ud(正方向如图标),二极管D反向阻断,输入电流沿T流向负载, 直流电源向负载输送电能。相反,当T处于阻断时,直流电源立即与负载脱离,输入电流id=0,直流电源不再输出电能,负载电流由原先贮藏在出端电感Ld中的磁能维持。为了避免输出电流i0产生突变,Ld的端压uL反向(正方向如图标),续流二极管D正偏导通,i0D中流过。当可控元件T以重复频率ƒ0轮番通断时,电源向负载输送电能便时断时续,并取决于占空比DDτ/Tc,其中τ为T导通时间。对输出电压进行分析,当i0为连续时,其平均值可表示为:

公式 符号

式中ud是入端电压平均值,Av称电路直流增益。上式表明,改变占空比D 即可改变输出电压u0

升/降压型电路

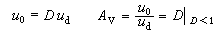
根据占空比D值的变化,输出电压平均值既可低于也可高于其输入电压平均值的电路(图1b)。图中可控元件T 也用具有自关断能力的全控型元件表示。由图可见,当T处于导通时,电感端压uL=ud,二极管D反向阻断,负载端与直流输入电源处于隔离状态,滤波电容C0 释放其电能以保持负载电流的连续,输入电流id则沿电感Ld流过并逐渐增加,Ld中磁能相应增加。当T为阻断时,输入电流id=0。为使Ld中电流iL连续,Ld端压uL反向,iL经续流二极管一部分向电容C0充电,另一部分供给负载。当可控元件T交替通断时,输出电压平均值u0取决于占空比D,且可表示为

公式 符号 公式 符号

式中,D=D0=0.5时,Av=1;D >0.5时,Av>1,电路为升压状态;D<0.5时,Av<1,电路处降压状态。与降压型电路相比,Av调节范围较宽。但由于入端电感Ld接在中间支路,出入端电流i0id 均为断续波形。

升压型电路

输出电压平均值u0恒高于输入电压平均值ud的电路(即直流增益 Av恒大于1)。电路结构如图2a所示。

图

由图可见,当可控元件T导通时,输入电流ƒd沿Ld流过并逐渐增长,Ld中贮能相应增加。与此同时,二极管D处于阻断状态,输出电流i0=0,出端滤波电容C0中电能向负载释放,以保证负载电流连续。当T关断时,为了维持id连续,Ld端压uL反向,二极管D导通,直流电压ud与uL串接加到输出端,故出端电压u0高于ud。与此同时,Ld中贮能沿二极管D转移到C0和负载中。当T轮番通断时,输出电压平均值u0取决于占空比D,且可表示为:

公式 符号

上式表明,AV>1。

丘克电路

也是一种升/降压型电路。它与图1b所示电路的区别是出入端电流均为连续,所含的谐波分量也较小,主电路结构(图2b)简单。当可控元件 T导通时,二极管D截止,入端电流id增长,输入电感L1的贮能增加。与此同时,出端电流i0沿L2C 和T流过,原来贮存在C 中的能量向负载和L2释放。当T关断而D导通时,为了维持入端电流连续,L1端压uL1反向,原先贮存在L1中的能量沿D向C 中转移。与此同时,为了维持出端电流连续,L2端压 uL2反向,原先贮藏在L2中的能量沿D向负载转移。由于电路中出入端电感L2L1的作用,出入端电流idid在T和D轮番通断时均保持连续。其输出电压平均值u0取决于可控元件T的占空比D,且可表示为

公式 符号

上式表明,丘克电路也具有升/降压功能,且L1L2的数值越大,则出入端电流纹波越低。

参考书目
  1. B.M.Bird,K.G.King,An Introduction to Power Electronics,J.Wiley and Sons, New York,1983.
  2. 华东计算技术研究所电源研究室编著:《晶体管开关稳压电源》,人民邮电出版社,北京,1985。