[拼音]:bubianxing yuanli
[外文]:invariance theory
自动控制理论中研究扼制和消除扰动对控制系统影响的理论。实际的控制系统都会受到外部扰动的影响。如果这种扰动能够被测量出来,就有可能利用它来产生控制作用,以消除其对输出的影响。这种设计原理就是不变性原理。当系统的被控制变量完全不受扰动作用的影响时,即称系统对扰动实现了完全不变性。当只是被控制变量的稳态不受扰动影响时(动态可能仍受影响),则称实现了稳态不变性。不变性原理确立了系统实现不变性所应满足的条件,为设计和构成高精度、高性能的自动控制系统提供了理论上的依据。不变性原理由苏联学者Г.В.谢巴诺夫在1939年首先提出。40~50年代苏联学者Н.Н.卢津、Б.Н.彼德罗夫等对此进行了系统的研究,使之发展成为一整套完整的理论。在西方,C.D.约翰逊继苏联学者之后也独立地提出,在作用有外扰动的控制系统中,应当把控制分成两部分,一部分用来抵消扰动的作用,另一部分用来实现跟踪控制(使系统的状态按给定的规律变化),并建立了这种抵消扰动的理论。
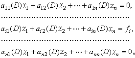
对于线性定常系统,扰动对系统的影响可用如下的一组微分方程组来描述:
式中
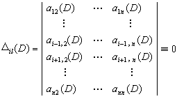
为微分算子,aij(D)为D 的多项式(i,j=1,...,n)。扰动fi(t)为任意形式的解析函数,x1(t)为所要考察的被控制变量。变量x1(t)对扰动fi(t)可实现不变性的充分必要条件,是系统方程的系数矩阵中相应于ai1(D)的代数余子式恒等于零:
这个条件反映在系统结构上,是要求在控制系统处于开环状态时,从扰动 fi(t)的作用点到系统被控制变量x1(t)的量测点之间,存在两个或多于两个的信号传递通道。这个条件常称为双通道原理,它提供了建立不变性系统所应遵循的结构条件。
按不变性原理建立的控制系统的主要形式是复合控制系统。这是一种同时采用按偏差的闭环控制和按扰动的开环控制的系统。不变性原理已成功地应用于惯性导航、飞行器的轨道控制以及各类高精度的伺服系统等方面。