铁路运输工作技术计划

铁路部门为保证完成一定时期(如季、月)的货物运输计划而制定的机车车辆运用计划,简称技术计划。这种计划只在实行计划运输制度的国家中采用。制定技术计划的目的在于合理使用机车车辆和铁路通过能力(见铁路运输能力),提高运输效率,保证完成货物运输任务。技术计划为各铁路局、分局规定使用车、卸空车、接入和交出的货车、列车等运输工作任务,规定机车车辆的运用效率指标,并确定各铁路局、分局的运用货车保有量和使用机车台数。

主要内容

技术计划的内容主要包括:

(1)使用车、卸空车和交接重车计划。使用车数包括装车数和因装载中转零担货物、铁路货车用具的装车以及因货物倒装而产生的增加使用车数。卸空车数包括卸车数和因中转零担货物卸车、整车装运铁路货车用具的卸车以及因货物倒装而产生的增加卸空车数。铁路局、分局的工作量是使用车数和从邻局接入的接运重车数之和。

(2)空车调整计划。为了使空车合理分布,保证装车需要,通常要制定车流调整计划。

(3)各区段货物列车列数计划。各区段货物列车列数通常按上下行方向和列车种类分别计算。

(4)分界站货车出入和货物列车交接计划。

(5)货车运用指标和运用货车保有量计划。技术计划中规定的货车运用效率指标主要是货车周转时间,是指每完成一个工作量,运用货车平均所消耗的天数。货车周转时间是从时间上考核货车运用效率的一项重要综合性指标,运用货车保有量等于工作量乘以货车周转时间。

(6)机车运用指标和货物列车机车使用台数计划。机车运用效率指标主要有机车全周转时间、机车日车公里和机车日产量等。牵引货物列车所需要的机车使用台数,按机务段担当牵引任务的每一牵引区段分别确定。

编制过程

编制技术计划主要是依据货物运输计划,其编制步骤是:

(1)首先确定各铁路局、分局的装车任务和接运重车任务。

(2)根据装车任务和接运重车任务制作重车车流表。

(3)根据使用车和接运重车的去向和流量,确定分局、铁路局的卸车任务和交出重车任务。

(4)根据已知的重车任务确定空车的交接、调移任务,即编制空车调整计划。编制时,铁道部根据各铁路局的使用车、卸空车计划,计算各铁路局的使用车和卸空车差数,确定各局间分界站空车交出和接入车数。

(5)根据各区段和各分界站交接的重、空车数编制各区段货物列车列数计划和分界站货车出入与货物列车交接计划。

(6)制定机车运用效率指标计划,然后按照各区段列车列数计划,再制定机车使用台数计划。

计算公式

在编制技术计划过程中,通常使用的最基本的计算公式有:

(1)接入空车数计算公式:

ureu1-ue+uge式中ure为接入空车数;u1为使用车数;ue为卸空车数;uge为交出空车数。

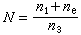
(2)货物列车列数计算公式:

式中N为上行或下行货物列车列数;nl为上行或下行重车流; ne为上行或下行空车流;n1为重车时列车编成辆数;n2为空车时列车编成辆数。当区段的空车流较小,不开行空车直达列车时,则按照重车、空车混编条件计算,即:

式中n3为重车、空车混编时列车编成辆数。

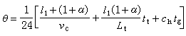
(3)货车周转时间计算公式:

式中θ为货车周转时间; l1为货车重周转距离;ɑ为空率;Vc为旅行速度;Lt为货车中转距离;tt为货车中转时间;ch为货车管内装卸率;tg为货车一次货物作业停留时间。

(4)货物列车机车使用台数计算公式:

式中M为货物列车机车使用台数; N1为区段的货物列车对数; N2为区段的双机牵引货物列车对数;θ1为机车全周转时间。

各国铁路根据各自的运营条件和目标,对机车车辆运用计划的制定有不同的要求。某些车辆数量比较充裕、铁路通过能力并不紧张的国家,对于加速机车车辆周转并不十分重视。他们对于机车车辆的运用,一般只根据预测考虑年度的较为粗略的安排,不做短时期(如季、月)的详细计划。